IPB
ЛогинПароль:

> Распознавание рукописного текста, ЧЕМ???
сообщение
Сообщение #1


Пионер
**

Группа: Пользователи
Сообщений: 145
Пол: Мужской
Реальное имя: Павел

Репутация: -  0  +


Мне надобно передрать 80 листов рукописного текста. Есессно, ручками делать лень. Хотелось бы отсканировать. Это собственно, без проблем. А вот чем его потом распознать?
P.S. Текст на русском, но корявыми буквами.


--------------------
- Дорогие девушки! У вас сухая кожа? Редкие волосы? Проблемы с фигурой? Приходите к нам! У нас темно и мы пьяные.
 Оффлайн  Профиль  PM 
 К началу страницы 
+ Ответить 
 
 Ответить  Открыть новую тему 
Ответов(1 - 15)
сообщение
Сообщение #2


Бывалый
***

Группа: Пользователи
Сообщений: 160
Пол: Мужской
Реальное имя: Серый

Репутация: -  0  +


Ничем... На данном этапе по моим сведениям такая технология отсутсвтует (во всяком случае, у рядовых пользователей... может в каком-нибудь НИИ... но мне об этом ничего не известно).


--------------------
Все в жизни ботва... Кроме пчел!
 Оффлайн  Профиль  PM 
 К началу страницы 
+ Ответить 
сообщение
Сообщение #3


Пионер
**

Группа: Пользователи
Сообщений: 145
Пол: Мужской
Реальное имя: Павел

Репутация: -  0  +


А например, в FineReader можно создать свой шрифт (отсканировать каждую букву и создать свой файл алфавита)?


--------------------
- Дорогие девушки! У вас сухая кожа? Редкие волосы? Проблемы с фигурой? Приходите к нам! У нас темно и мы пьяные.
 Оффлайн  Профиль  PM 
 К началу страницы 
+ Ответить 
сообщение
Сообщение #4


Бывалый
***

Группа: Пользователи
Сообщений: 160
Пол: Мужской
Реальное имя: Серый

Репутация: -  0  +


И как эффективность ? smile.gif


--------------------
Все в жизни ботва... Кроме пчел!
 Оффлайн  Профиль  PM 
 К началу страницы 
+ Ответить 
сообщение
Сообщение #5


Ищущий истину
******

Группа: Пользователи
Сообщений: 4 825
Пол: Мужской
Реальное имя: Олег

Репутация: -  45  +


не знаю не знаю...
видел у друга на КПК прогу, типаблокнота, он пишет в ней палочкой экранной прямо как в тетрадки, потом нажимает распознать и текст мгновенно распознается. Могу спросить как называется прога.


--------------------
Помогая друг другу, мы справимся с любыми трудностями!
"Не опускать крылья!" (С)
 Оффлайн  Профиль  PM 
 К началу страницы 
+ Ответить 
сообщение
Сообщение #6


Бывалый
***

Группа: Пользователи
Сообщений: 160
Пол: Мужской
Реальное имя: Серый

Репутация: -  0  +


Oleg_Z , вообще-то у меня на КПК такая же есть... Система называется Graffity (у меня под номером 2)... Только вот она не учится распознавать рукописный текст, а учит пользователя писАть так, как ей надо smile.gif . Т.е. буквы там набираются по росчеркам т.е. буква "Т" это росчерк сверху + вертикальный и т.д. Мне кажется это не совсем то, что нужно т.к. это все равно по сути набор встроенных примитивов.


--------------------
Все в жизни ботва... Кроме пчел!
 Оффлайн  Профиль  PM 
 К началу страницы 
+ Ответить 
сообщение
Сообщение #7


Ищущий истину
******

Группа: Пользователи
Сообщений: 4 825
Пол: Мужской
Реальное имя: Олег

Репутация: -  45  +


возможно, но то что я писал, она распознала..
инчае в данном случае надо реализовавыть нейросеть самообучающуюся или обучаемую. (например на основе персептронов).


--------------------
Помогая друг другу, мы справимся с любыми трудностями!
"Не опускать крылья!" (С)
 Оффлайн  Профиль  PM 
 К началу страницы 
+ Ответить 
сообщение
Сообщение #8


Бывалый
***

Группа: Пользователи
Сообщений: 160
Пол: Мужской
Реальное имя: Серый

Репутация: -  0  +


Цитата
инчае в данном случае надо реализовавыть нейросеть самообучающуюся или обучаемую. (например на основе персептронов).


smile.gif smile.gif smile.gif

Кто реализует, чур мне исходник... smile.gif smile.gif smile.gif Желательно с комментариями...


--------------------
Все в жизни ботва... Кроме пчел!
 Оффлайн  Профиль  PM 
 К началу страницы 
+ Ответить 
сообщение
Сообщение #9


Пионер
**

Группа: Пользователи
Сообщений: 145
Пол: Мужской
Реальное имя: Павел

Репутация: -  0  +


Цитата(Oleg_Z @ 20.04.05 15:48)
например на основе персептронов.

Персе чево?


--------------------
- Дорогие девушки! У вас сухая кожа? Редкие волосы? Проблемы с фигурой? Приходите к нам! У нас темно и мы пьяные.
 Оффлайн  Профиль  PM 
 К началу страницы 
+ Ответить 
сообщение
Сообщение #10


Гость






Цитата(Jaxx @ 25.04.05 13:32)
Персе чево?

smile.gif
Цитата
Большое значение в техническом конструировании имеют т. н. персептроны - "самообучающиеся" системы, выполняющие логические функции опознавания и классификации. Они соответствуют мозговым центрам, где происходит переработка принятой информации. Большинство исследований посвящено опознаванию зрительных, звуковых или иных образов, т. е. формированию сигнала или кода, однозначно соответствующего объекту. Опознавание должно осуществляться независимо от изменений изображения (например, его яркости, цвета и т.п.) при сохранении его основного значения. Такие самоорганизующиеся познающие устройства работают без предварительного программирования с постепенной тренировкой, осуществляемой человеком-оператором; он предъявляет изображения, сигнализирует об ошибках, подкрепляет правильные реакции. Входное устройство персептрона - его воспринимающее, рецепторное поле; при опознавании зрительных объектов - это набор фотоэлементов.

После периода "обучения" персептрон может принимать самостоятельные решения. На основе персептронов создаются приборы для чтения и распознавания текста, чертежей, анализа осциллограмм, рентгенограмм и т.д.
 К началу страницы 
+ Ответить 
сообщение
Сообщение #11


Ищущий истину
******

Группа: Пользователи
Сообщений: 4 825
Пол: Мужской
Реальное имя: Олег

Репутация: -  45  +


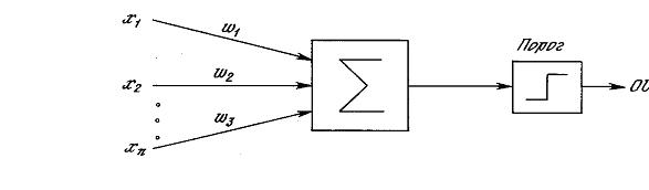
Проще говоря, персептрон - это аппаратный или виртуальный нейрон, работающий по принципу 1 - 0.
По полученным от рецепторов данным, сигнал либо преодолевает порог, либо нет (то есть 1 или 0).
На схеме можно изобразить так:
Прикрепленное изображение


--------------------
Помогая друг другу, мы справимся с любыми трудностями!
"Не опускать крылья!" (С)
 Оффлайн  Профиль  PM 
 К началу страницы 
+ Ответить 
сообщение
Сообщение #12


Профи
****

Группа: Пользователи
Сообщений: 660
Пол: Мужской
Реальное имя: Михаил

Репутация: -  11  +


Проще набрать руками! Ибо запрограммировать этот процесс - это гораздо более 80 листов программы, да потом ее еще обучать распознавать надо (не считая отладки).


--------------------
Никогда не жадничай. Свои проблемы с любовью дари людям!
 Оффлайн  Профиль  PM 
 К началу страницы 
+ Ответить 
сообщение
Сообщение #13


Профи
****

Группа: Пользователи
Сообщений: 930
Пол: Мужской

Репутация: -  11  +


Теоретически, есть ещё один вариант, довольно перспективный. Найти прогу для набора текста голосом и зачитать твои 80 листов smile.gif
 Оффлайн  Профиль  PM 
 К началу страницы 
+ Ответить 
сообщение
Сообщение #14


Пионер
**

Группа: Пользователи
Сообщений: 145
Пол: Мужской
Реальное имя: Павел

Репутация: -  0  +


Цитата(SKVOZNJAK @ 2.05.05 9:24)
Теоретически, есть ещё один вариант, довольно перспективный. Найти прогу для набора текста голосом и зачитать твои 80 листов smile.gif

А вот енто мысля... Слыхал про такую вестчь - Dragon Dictate (ака Горыныч). Кто-нибудь пользовал? Поделитесь впечатлениями.


--------------------
- Дорогие девушки! У вас сухая кожа? Редкие волосы? Проблемы с фигурой? Приходите к нам! У нас темно и мы пьяные.
 Оффлайн  Профиль  PM 
 К началу страницы 
+ Ответить 
сообщение
Сообщение #15


Четыре квадратика
****

Группа: Пользователи
Сообщений: 579
Пол: Мужской

Репутация: -  4  +


Пользовался... очень грустные впечатления...

Дело в том, что на каждое слово Горыныча нужно "тренировать" - проговорить его несколько раз. На тренировки уходит уйма времени, и то результат не очень...

Все равно набить вручную проще smile.gif


--------------------
Закон добровольного труда Зимерги:
Люди всегда согласны сделать работу, когда необходимость в этом уже отпала
 Оффлайн  Профиль  PM 
 К началу страницы 
+ Ответить 
сообщение
Сообщение #16


Профи
****

Группа: Пользователи
Сообщений: 930
Пол: Мужской

Репутация: -  11  +


То что прогу придётся приучать к голосу, это сразу было понятно. Но может есть более эффективные проги? Ведь когда-то была сделана голосовая печатная машинка, неужели и она глючила.

Сообщение отредактировано: SKVOZNJAK -
 Оффлайн  Профиль  PM 
 К началу страницы 
+ Ответить 

 Ответить  Открыть новую тему 
1 чел. читают эту тему (гостей: 1, скрытых пользователей: 0)
Пользователей: 0

 





- Текстовая версия 22.02.2026 16:11
500Gb HDD, 6Gb RAM, 2 Cores, 7 EUR в месяц — такие хостинги правда бывают
Связь с администрацией: bu_gen в домене octagram.name