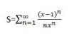
Составить программу к блок-схему вычисления суммы членов бесконечного числового ряда с погрешностью Е=10^-4. Определить количество членов ряда,сравнить полученное значение суммы со значением функции y=Ln(x), x=1,5 Нажмите для просмотра прикрепленного файла
Это текстовая версия — только основной контент. Для просмотра полной версии этой страницы, пожалуйста, нажмите сюда.