Помощь - Поиск - Пользователи - Календарь
Полная версия: Вычисления с заданной точностью
Форум «Всё о Паскале» > Pascal, Object Pascal > Задачи
Kyco4ek
Помогите решить задачу, пожалуйста. Не понимаю с чего начать и что вообще требуется. Если не трудно подскажите...

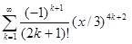
Даны действительные числа x, ε (x не равно 0, ε>0). Вычислить с точностью ε(ε=10-3,10-4,10-5,10-6)сумму ряда и указать количество учтеных слагаемых

Нажмите для просмотра прикрепленного файла

TarasBer
Ну вот то, что под знаком сумму, для k=1 вы вычислить можете? А для k=2? А последовательно прибавлять то, что получается, а некой переменной "сумма_ряда" можете? А "точностью до епсилон" тут наверняка подразумевают момент, когда новое слагаемое меньше епсилона.
Это текстовая версия — только основной контент. Для просмотра полной версии этой страницы, пожалуйста, нажмите сюда.