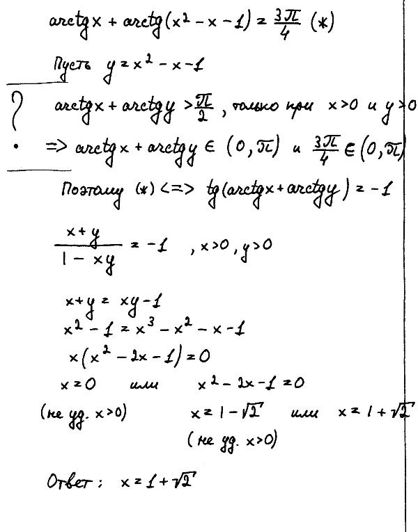
Данное задание из варианта вступительных испытаний в СПбГУ 2007 года, попросили решить - решил, попросили объяснить - нашли ошибку, ну, как сказать, не совсем ошибку, а лишние ответы!!! У меня их получилось три, а должен быть один, при подстановке на первый взгляд подходят все, а не тут-то было, спросил как должно быть - подсказали, тока объяснить почему именно так забыли!!! smile.gif Вот и прошу Вас помочь мне разобраться!!!
Нажмите для просмотра прикрепленного файла
В этом задании я не написал сам две строчки (они помечены на рисунке), так вот, почему они тут так необходимы, и почему из первой строчки следует именно вторая, а не вот такой вариант: сумма арктангенсов принадлежит промежутку от Пи попалам до Пи и угол 3Пи/4 тому же промежутку соответственно??? unsure.gif

Atos, Lapp, Michael_Rybak, может вы знаете ответ на мой вопрос? уделите плиз, несколько минут внимания!!! smile.gif