Помощь - Поиск - Пользователи - Календарь
Полная версия: Найти объём тела, образованного вращением оси Ox
Форум «Всё о Паскале» > Образование и наука > Математика
agressor
Найти объём тела образованного вращением оси OX , ограниченного одной дугой синусойды y= sin x

Формула : V= п* интегр. от а до b y2 (x) dx;
FreeMan
во первых не "вращением оси OX", а вращением вокруг оси OX
получится ПИ*интеграл от 0 до ПИ (sinx)^2dx
agressor
и вот как раз это и не получается
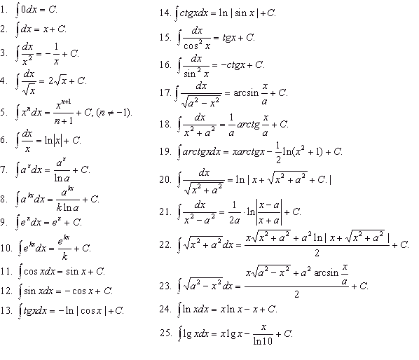
hiv
Сделай замену ( t=-cos(x) dt=sin(x)dx sin(x)=корень(1-cos(x)^2) ) и посмотри сюда: Таблица интегралов
В ответе должно быть ПИ*ПИ/2
Это текстовая версия — только основной контент. Для просмотра полной версии этой страницы, пожалуйста, нажмите сюда.