Помощь - Поиск - Пользователи - Календарь
Полная версия: Квадратичные формы
Форум «Всё о Паскале» > Образование и наука > Математика
zzq
Помогите привести любым способом к диагональному(или каноническому)) виду уравнение
Нажмите для просмотра прикрепленного файла
..у самого никак не получается..
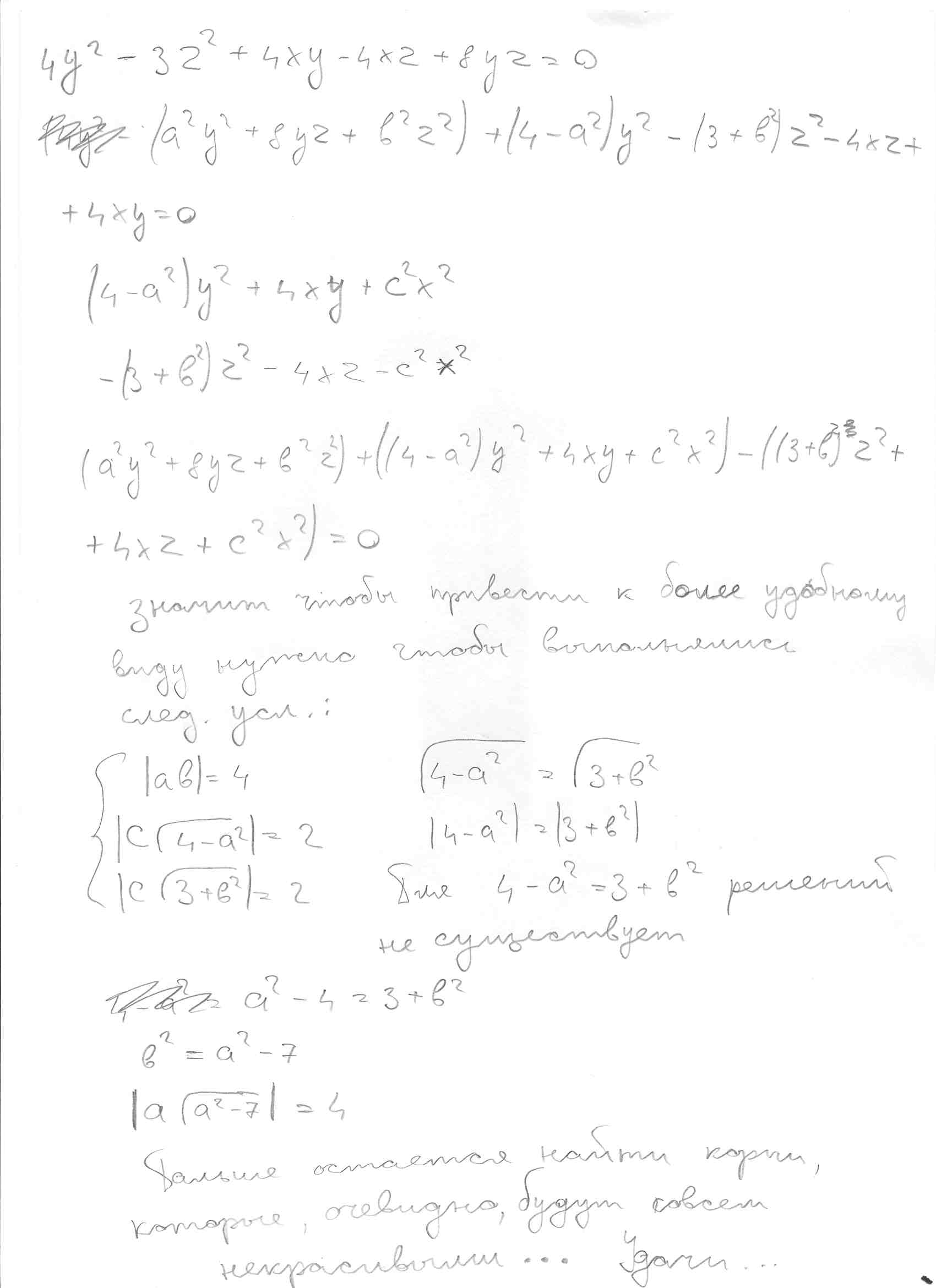
zZz
попробовал попреобразовывать - вот к чему пришел
Нажмите для просмотра прикрепленного файла
zzq
спасибо, но думаю что то не то))
..в ответах все более-менее ровно получается((

..получаем уравнение конуса...это номер в Беклемишевой (11.22 п.2)...
zZz
седня посмотрел своё же решение: что-то не то в особенности с модулями(устал наверно вчера), вообщем точно не знаю, но что-то похожее должно быть...
zzq
..самое интересное там вообще не должно быть модулей!!
..ладно, еще попробую сам как-нибудь)))
Это текстовая версия — только основной контент. Для просмотра полной версии этой страницы, пожалуйста, нажмите сюда.