Помощь - Поиск - Пользователи - Календарь
Полная версия: Математика
Форум «Всё о Паскале» > Образование и наука > Математика
nesh
Народ мне нужно решить 3 задачи:
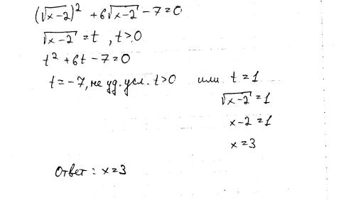
1)(√x-2)²+6√x-2-7=0, x-2 в двух случаях под корнем!
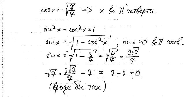
2)√7sinx-2, если cosx=-√3/7
Семерка под корнем и три седьмых тоже под корнем!
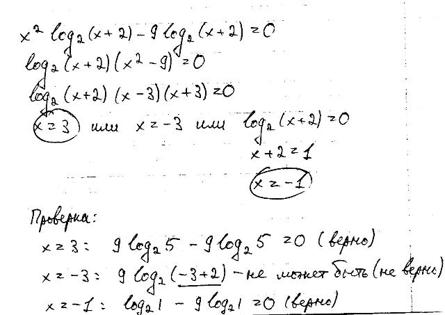
3)x²log (x+2)-9log (x+2)=0
У логарифмов в обоих случаях=2
Заранее огромное спасибо!!!

Michael_Rybak
что делал, что не получается?
nesh
Я сделал первую и вторую:
1)Ответ:1.
2)Ответ:0.
Проверьте пожалуйста, это правильно?!
А вот четвертая у меня не очень получается!
Yevgeny
Цитата
А вот четвертая у меня не очень получается!

Может всё-таки третья? smile.gif

В первой не может быть 1, так как под корнем не может быть отрацательного числа...
volvo
Цитата
1)Ответ:1.
Ты не довел решение до конца. Это - не окончательный результат.
compiler
не успел...
nesh
Yevgeny,
Спасиьо тебе огромное!!!
nesh
Помогите решить 4 номер в тригонометрии и 3,4,5 в показательных уравнениях.
Айра
Тригонометрия решается как квадратное уравнение.. Заменяешь sin3x на у и вперед.. А в конце тебе просто нужен корень, который попадает в указанный промежуток. У меня получилось 120

3. приравниваешь f(x) к g(x) и решаешь биквадратное уравнение. Ответ: 1\2
4 и 5 вроде тоже, приравниваешь и решаешь, хотя смущает формулировка, в 4-м ответ 1\2, в 5-м - 1..

..но ответы не проверяла.. если что, говори.. wink.gif
Это текстовая версия — только основной контент. Для просмотра полной версии этой страницы, пожалуйста, нажмите сюда.