Помощь
-
Поиск
-
Пользователи
-
Календарь
Полная версия:
Итеграл. Задание необычное. Нужно очень срочно
Форум «Всё о Паскале»
>
Образование и наука
>
Математика
АНГЕЛ
30.09.2008 17:18
Как найти площадь заштрихованной фигуры, используя понятие определенного интеграла
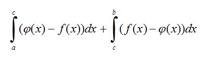
Айра
30.09.2008 19:37
Формула вроде такая будет:
Нажмите для просмотра прикрепленного файла
Это текстовая версия — только основной контент. Для просмотра полной версии этой страницы, пожалуйста,
нажмите сюда
.