Помощь - Поиск - Пользователи - Календарь
Полная версия: Метод трапеций
Форум «Всё о Паскале» > Pascal, Object Pascal > Задачи
memorex
Вычеслить определенный интерграл с заданной точностью(задается с клавиатуры) Вывести на экран значение интеграла, кол-во разбиений, значение первообразной. Нарисовать график подинтегральной функции и показать, как происходит разбиение.

Е=0,0001 - точность

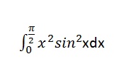
ПервообразнаяНажмите для просмотра прикрепленного файла

ИнтегралНажмите для просмотра прикрепленного файла
Ozzя
Цитата
Вычеислить определенный интерграл

Ну, так и вычисляй! Кто мешает-то?
Можно наверх страницы взглянуть.
Это текстовая версия — только основной контент. Для просмотра полной версии этой страницы, пожалуйста, нажмите сюда.