Помощь - Поиск - Пользователи - Календарь
Полная версия: поседовательность чисел как задать формулой?
Форум «Всё о Паскале» > Pascal, Object Pascal > Задачи
dff
Уравнение:
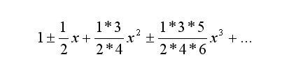
S:=1-(1/2)*x-(1*3/2*4)x^2+(1*3*5/2*4*6)*x^3-(1*3*5*7/2*4*6*8)x^4 ...

Планирую задать перемену знака через оператор odd перемену х через х^(i-1)
а вот поседовательность чисел как задать формулой?

1/2 , 1*3/2*4 , 1*3*5/2*4*6 , 1*3*5*7/2*4*6*8 ...
ну или
1/2 , 3/8 , 15/48 , 105/384 ...

volvo
Цитата
а вот поседовательность чисел как задать формулой?
Можно - вот так:
var
i, j : integer;
nom, denom : integer;

begin
writeln(1/2 :6 :4, ' ',
(1*3)/(2*4) :6 :4 , ' ',
(1*3*5)/(2*4*6) :6 :4, ' ',
(1*3*5*7)/(2*4*6*8) :6 :4); // Это для проверки, чтоб было с чем сравнивать

for i := 1 to 4 do
begin
nom := 1; denom := 1;
for j := 1 to 2 * i do
if odd (j) then
nom := nom * j
else
denom := denom * j;

writeln(nom/denom :6 :4); // А это - вычисленные значения
end;
end.
, а можно - чуть-чуть по-другому сделать, использовать 2 цикла while с шагом = 2, чтоб избавиться от if-а. Попробуй сделать с двумя while-ами самостоятельно, если не получится - поможем...

P.S. В поиске, кстати, можно найти много интересного. И разложение вот в такой ряд - тоже. (Это разложение (1 - X)-1/2, я ничего не путаю?)
dff
Цитата(volvo @ 25.03.2011 20:34) *

P.S. В поиске, кстати, можно найти много интересного. И разложение вот в такой ряд - тоже. (Это разложение (1 - X)-1/2, я ничего не путаю?)


Я не все понял.Посижу посмотрю.
А вообще (1 - X)-1/2 откуда это? уравнение то
S:=1-(1/2)*x-(1*3/2*4)x^2+(1*3*5/2*4*6)*x^3-(1*3*5*7/2*4*6*8)x^4 ...
volvo
Цитата
А вообще (1 - X)-1/2 откуда это?

Вообще-то, если разложить функцию (1 ± X)-1/2 при (|X| ≤ 1) и (1 ± X ≠ 0) в степенной ряд - то как раз и получится:

Нажмите для просмотра прикрепленного файла

Откуда следует, что ты раскладываешь функцию со знаком минус, то есть, как раз ту самую (1 - X)-1/2... Странно, что это может вызвать затруднения в понимании.
dff
Program lab5_2;
Var x,s: Real;
i,m: Byte;
Begin
Write('Ведите 0<x<1. x=');
Read(x)
WriteLn('Введите число слагаемых большее 0');
Read(m);
s:=1;
If m<>1 Then
Begin
b:=1;
For i:=1 to m-1 do
begin
If odd(i) Then a:=-1
Else a:=1;
b:=1*(2*i-1)/(2*k)
c:=exp((i-1)*ln(x))
s:=s+a*b*c
End;
End;
WriteLn('Summa=', s:8:5);
End.

Вот что придумал вроде работает.

Степенной ряд расписал как x^(i-1) вот c:=exp((i-1)*ln(x))
Это текстовая версия — только основной контент. Для просмотра полной версии этой страницы, пожалуйста, нажмите сюда.