Все задания в одной проге с помощью подпрограмм, и к ней желательно модуль. Прогу уж оч загнули по нашей спец,я знаю тут умнички есть.

1 Получить n-е число Фибоначчи. Числа Фибоначчи определяются по следующему правилу: f1=1, f2=1, fi+1=fi+fi-1, для i .

2 В матрице А (mxn) расположить строки в порядке возрастания сумм их элементов.

3 В матрице А (mxn) поменять местами элементы К и К+1 строки (к+1 ).

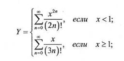
4. Написать программу табулирования сложной функции( функция во вложении , файл)

погрешность вычисления бесконечной суммы e = 0.001

Нажмите для просмотра прикрепленного файла