Помощь
-
Поиск
-
Пользователи
-
Календарь
Полная версия:
помогите пожалуйста написать программу в Pascal
Форум «Всё о Паскале»
>
Pascal, Object Pascal
>
Задачи
kris_kaif
26.05.2014 18:18
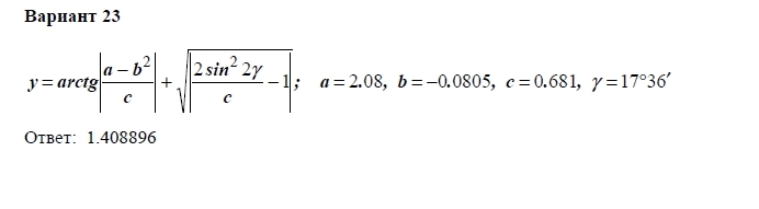
пожалуйста, помогите написать программу для решения примера в Pascal
Нажмите для просмотра прикрепленного файла
Нажмите для просмотра прикрепленного файла
Нажмите для просмотра прикрепленного файла
Это текстовая версия — только основной контент. Для просмотра полной версии этой страницы, пожалуйста,
нажмите сюда
.