Помощь - Поиск - Пользователи - Календарь
Полная версия: Найти площадь ограниченной окружности
Форум «Всё о Паскале» > Образование и наука > Математика
agressor
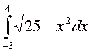
Найти площадь ограниченной окружности x2+y2=25 осью OX и ординатами x= -3; x= 4
Altair
Вырази y(x), получишь функцию с корнем... в1 четверти нам сойдет.

Исчитаешь сумму 2интегралов. Первыот 0 до 3 второй от 0 до 4...
интеграл от функции y(x)конечно.
все просто.
agressor
Извини мне что-то непонятен 1-ый шаг
hiv
Просто решаешь определенный интеграл:
Нажмите для просмотра прикрепленного файла
agressor
тут странная дробь получается
hiv
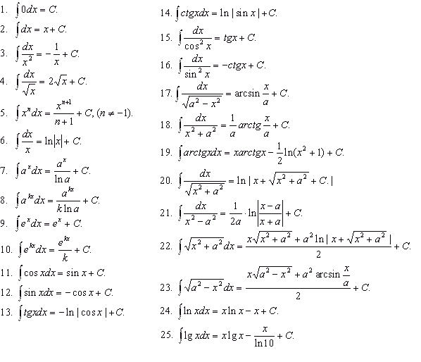
Ты бы хоть в справочник заглянул!
Нажмите для просмотра прикрепленного файла
Это текстовая версия — только основной контент. Для просмотра полной версии этой страницы, пожалуйста, нажмите сюда.