Помощь - Поиск - Пользователи - Календарь
Полная версия: Проекци в пространстве..
Форум «Всё о Паскале» > Образование и наука > Математика
zzq
Помогите с материалом по проекциям::
-точки на прямую/плоскость
-прямой на плоскость
..ортогональные проекции..
..Желательно побольше практического материала, решения задач..

З.ы. ни у кого нет задачника Беклемишевой в djvu или pdf'е??
zzq
..задачник Беклемишевой нашел..скачать можно здесь::djvu..

..в материале по проекциям все еще нуждаюсь..
Altair
1. с точки зрения инженерной графики.

Возьми в библиотеке (вобщем достань гдето) книгу "Задачи и задания по инженерной графике". Автор Чекмарев А.А.
Там очень хорошие задачи по этой данной теме.
Цитата
.ортогональные проекции..

построение ортогонального чертежа
проекция точки

2. с точки зрения аналитической геометрии.
вот я тут из прошлогодних лекций кое-что нашел...
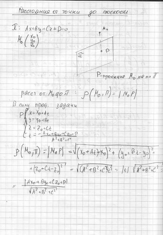
Проекция точки на прямую на плоскости., в качестве задачи - нахождение расстояния от точки до прямой.
Нажмите для просмотра прикрепленного файлаНажмите для просмотра прикрепленного файла
проекция точки на плоскость.
Нажмите для просмотра прикрепленного файла
и в качестве задачи - расстояние от точки до плоскости.
Нажмите для просмотра прикрепленного файла

не знаю, поможет или нет, но вот еще кое-что...
Аналитическая геометрия.
Там есть задачник Клетеника, и теория.
+ книги...
Цитата

Александров П.С. Курс аналитической геометрии и линейной алгебры, М., Наука, Физматлит, 1979, Формат djvu
Часть 1, Часть 2, Часть 3
Беклемишев Д.В. Аналитическая геометрия и линейная алгебра. М., Высшая школа, 1998, Формат djvu
Ефимов Н.В. Краткий курс аналитической геометрии, Формат djvu
Ильин В.А., Позняк Э.Г. Аналитическая геометрия. М., Наука, Физматлит, 1999, Формат djvu
Лекции по аналитической геометрии МГУ, Формат djvu
Постников М.М. Аналитическая геометрия. М., Наука, Физматлит, 1973, Формат djvu
Часть 1, Часть 2, Часть 3, Часть 4
Умнов А.Е. Аналитическая геометрия и линейная алгебра, лекции МФТИ, 2004, Формат djvu
Саакян Г.Р. Элементы аналитической геометрии. Лекции ЮРГУЭС. Формат rar, doc
Матвеев С. Пособие по векторной алгебре. Формат zip, ps
zzq
Огромное спасибо Altair за проделанную работу!

..у меня в лекциях практически то же самое))

..непонятно насчет ортогональной проекции (аналитическая геометрия)..а этого у меня в лекциях нет, и учебники уже все перекопал не могу найти.. мне важно понять смысл ортоганольной проекции(что это вообще за зверь такой), а там сам как-нибудь додумаю..

З.ы. ..в принципе неделька еще осталась на поиски, а там опять на экзамен))
Altair
Что бы ответить на этот вопрос, сначала стоит разобраться с системами координат. ссылка

Далее определение ортогональности:
Ортогональность (от греч . orthogonios - прямоугольный), обобщение понятия перпендикулярности, распространенное на различные математические объекты. Напр., два вектора называются ортогональными, если их скалярное произведение равно нулю.

Поэтому размышлять тут особо не о чем.
Ортогональная проекция точки - это проекция, получаемая следующим образом:
из точки опускаются перпендикуляры на оси координат. Полученные значения на осях и будут элементами проекции. (Px, Py, Pz).

Где мы это используем ?
А вот где, посмотри еще раз этот слайд.
Мы указали - L1 перпендикулярно L, именно на основании того, что точка P - ортогональная проекция точки М0
zzq
Цитата
Ортогональная проекция точки - это проекция, получаемая следующим образом:
из точки опускаются перпендикуляры на оси координат. Полученные значения на осях и будут элементами проекции. (Px, Py, Pz).
..Т.е ortX=prX(OX)+prX(OY)+prX(OZ)?? а почему тогда в задании просят найти ортогональную проекцию точки на плоскость(!)?? ..причем ortX(M)=prX(M||M_ортогональное) - не могу понять как вообще М может быть параллельна М_орт.. (где М-данная плоскость)

..а на слайде таки как раз ищется просто проекция, причем она не равна ортогональной..
zzq
..Эврика! кажется я понял..
..если на слайде прямая L будет параллельна OX, а L1 параллельна OY, тогда prX(L)=ortX(L)..
..но тогда в пространстве можно будет найти две такии проекции(на плоскость)..как с этим бороться??
и что если взять L орт OX и т.д...

..а может я уже совсем запутался))
Altair
Цитата
Т.е ortX=prX(OX)+prX(OY)+prX(OZ)?

Совершенно верно, но так все просто, если это проекция на оси координат.

Цитата
а почему тогда в задании просят найти ортогональную проекцию точки на плоскость(!)??

Ну так плоскость может быть расположенна произвольно!!! Тогда проекция на нее будет в точке пересечения перепендикуляра.
Вот смотри, я избразил это в автокаде...
Нажмите для просмотра прикрепленного файла
Смотри там есть система координат, точка которую мы проекцируем, и от нее идет перепендикуляр, пересекающий плоскость.

Точку пересечения я обозначил красной жирной точкой.
Теперь ясно ? То есть проекция точки на данную плоскость будет отличаться от проекции этой точки на орты системы координат...
zzq
Цитата
Тогда проекция на нее будет в точке пересечения перепендикуляра.
перпендикуляра к плоскости, или к одной из осей координат??

..рисунок не очень понятен..возможно лучше было бы изобразить в 2D(на плоскости)..


Пример:
дана точка М(1,1,1) и плоскость x+2y+3z+8=0..
..решение: провожу через М перпендикуляр к плоскости, направляющим перпендикуляра является вектор нормали плоскости n(1,2,3), тогда у-ние перпендикуляра(прямой) выглядит так: х-1=(y-1)/2=(Z-1)/3..находим точку пересечения перпендикуляра с плоскостью.. получаем (0,1,-2). Так ищется проекция точки на плоскость..а как найти ортогональную проекцию точки на плоскость??
Altair
Цитата
перпендикуляра к плоскости, или к одной из осей координат??

ну к плоскости конечно. почему на оси то ???


Цитата
а как найти ортогональную проекцию точки на плоскость??

это она и есть.
zzq
..никогда не думал что prX=ortX..то то я нигде материала по ней найти не могу)) а как искать pr я прекрасно знаю.. Спасибо, чт о наконец то разъяснили мне все!!
Altair
Цитата
prX=ortX

постой, что ты под ort X понимаешь ? Обычно под ортами понимают единичные отрезки на осях...
zzq
ortX - ортогональная проекция Х..
Altair
все ок
Это текстовая версия — только основной контент. Для просмотра полной версии этой страницы, пожалуйста, нажмите сюда.