IPB
ЛогинПароль:

 
 Ответить  Открыть новую тему 
> Какой путь пройдет тело за t=1с, Тема:Сила тяготения
сообщение
Сообщение #1


Новичок
*

Группа: Пользователи
Сообщений: 41
Пол: Женский
Реальное имя: Анастасия

Репутация: -  0  +


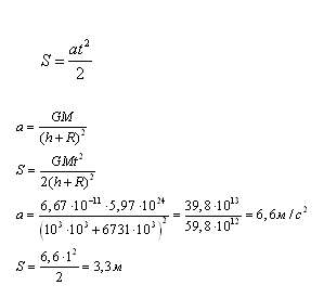
Какой путь пройдет тело за t=1с, если оно будет падать с высоты h=1000 км без начальной скорости? Радиус Земли R=6371 км.
В сборнике ответ 3,66 м.
А у меня 3,3. Не знаю,как сюда рисунки вставлять, поэтому прикрепляю файл.


Эскизы прикрепленных изображений
Прикрепленное изображение
 Оффлайн  Профиль  PM 
 К началу страницы 
+ Ответить 
сообщение
Сообщение #2


Уникум
*******

Группа: Пользователи
Сообщений: 6 823
Пол: Мужской
Реальное имя: Лопáрь (Андрей)

Репутация: -  159  +


Цитата(Анастасия @ 19.02.2007 20:30) *

В сборнике ответ 3,66 м.
А у меня 3,3.

Решение верное.
Так что, если исходные данные правильные (не проверял), то задачник врет. Бывает..


--------------------
я - ветер, я северный холодный ветер
я час расставанья, я год возвращенья домой
 Оффлайн  Профиль  PM 
 К началу страницы 
+ Ответить 
сообщение
Сообщение #3


Пионер
**

Группа: Пользователи
Сообщений: 100
Пол: Мужской

Репутация: -  0  +


Да что там задачник. Подумаешь опечатка в ответе. Вот в учебниках физики постоянно рисуют профиль крыла самолёта и утверждают, что подъёмная сила возникает от того, что поток воздуха сверху крыла быстрее, чем поток воздуха снизу крыла. lol.gif
"Не верь глазам своим" К.Прутков (кажется).
 Оффлайн  Профиль  PM 
 К началу страницы 
+ Ответить 
сообщение
Сообщение #4


Гость






А ты не пробовал брать приблизительные значения?
G=6,7 * 10^(-11)
Mз=6 * 10^24

и всё будет как у них.
 К началу страницы 
+ Ответить 

 Ответить  Открыть новую тему 
1 чел. читают эту тему (гостей: 1, скрытых пользователей: 0)
Пользователей: 0

 





- Текстовая версия 17.02.2026 23:55
500Gb HDD, 6Gb RAM, 2 Cores, 7 EUR в месяц — такие хостинги правда бывают
Связь с администрацией: bu_gen в домене octagram.name