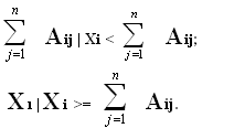
Дана матрица 5х5
Задан массив X1,Х2,...Хn получить массив C1,C2,...Cn по правилу:
 Безымянный.bmp ( 150.1 килобайт )
Кол-во скачиваний: 1043Сообщение отредактировано: me to you -
1. Заголовок темы должен быть информативным. В противном случае тема удаляется ... 
2. Все тексты программ должны помещаться в теги [code=pas] ... [/code], либо быть опубликованы на нашем PasteBin в режиме вечного хранения. 
3. Прежде чем задавать вопрос, см. "FAQ", если там не нашли ответа, воспользуйтесь ПОИСКОМ, возможно такую задачу уже решали! 
4. Не предлагайте свои решения на других языках, кроме Паскаля (исключение - только с согласия модератора).
5. НЕ используйте форум для личного общения, все что не относится к обсуждению темы - на PM!
6. Одна тема - один вопрос (задача)
7. Проверяйте программы перед тем, как разместить их на форуме!!!
8. Спрашивайте и отвечайте четко и по существу!!!
![]() ![]()  | 
	
| me to you | 
                        
			
			  
			
				 Сообщение
					#1				
			 
		 | 
	
| 
        	
        		 Группа: Пользователи Сообщений: 4 Пол: Женский Репутация:    0           	 | 
       
			
			 помогите пожалуйста  с задачей... 
			
			
					
		Дана матрица 5х5 Задан массив X1,Х2,...Хn получить массив C1,C2,...Cn по правилу:  
 Безымянный.bmp ( 150.1 килобайт )
Кол-во скачиваний: 1043Сообщение отредактировано: me to you -  | 
	
| Tan | 
                        
			
			  
			
				 Сообщение
					#2				
			 
		 | 
	
        	
        		![]() Профи ![]() ![]() ![]() ![]() Группа: Пользователи Сообщений: 559 Пол: Мужской Реальное имя: Бруно Репутация:    10           	 | 
       
			
			 Было бы здорово если бы вы в WORDe написали то, что на картинке, а то лично я ничего не разобрал, ну или на словах. Me to you напечатайте и сфоткайте! 
			
			Сообщение отредактировано: Tan - -------------------- Цитата Imagination is more important than knowledge.   Albert Einstein  | 
	
| klem4 | 
                        
			
			  
			
				 Сообщение
					#3				
			 
		 | 
	
        	
        		![]() Perl. Just code it! ![]() ![]() ![]() ![]() ![]() ![]() Группа: Пользователи Сообщений: 4 100 Пол: Мужской Реальное имя: Андрей Репутация:    44           	 | 
       
			
			 Только не документы офиса,  
			
			Цитата  На форуме запрещается: 11. выкладывать задачи в формате DOC (или других документов office). Разрешено или текст или графику.  -------------------- perl -e 'print for (map{chr(hex)}("4861707079204E6577205965617221"=~/(.{2})/g)), "\n";' 
					
		 | 
	
| me to you | 
                        
			
			  
			
				 Сообщение
					#4				
			 
		 | 
	
| 
        	
        		 Группа: Пользователи Сообщений: 4 Пол: Женский Репутация:    0           	 | 
       |
![]() ![]()  | 
	
 
  | 
		Текстовая версия | 4.11.2025 23:11 |