IPB
ЛогинПароль:

> Прочтите прежде чем задавать вопрос!

1. Заголовок темы должен быть информативным. В противном случае тема удаляется ...
2. Все тексты программ должны помещаться в теги [code=pas] ... [/code], либо быть опубликованы на нашем PasteBin в режиме вечного хранения.
3. Прежде чем задавать вопрос, см. "FAQ", если там не нашли ответа, воспользуйтесь ПОИСКОМ, возможно такую задачу уже решали!
4. Не предлагайте свои решения на других языках, кроме Паскаля (исключение - только с согласия модератора).
5. НЕ используйте форум для личного общения, все что не относится к обсуждению темы - на PM!
6. Одна тема - один вопрос (задача)
7. Проверяйте программы перед тем, как разместить их на форуме!!!
8. Спрашивайте и отвечайте четко и по существу!!!

 
 Ответить  Открыть новую тему 
> ненавистная графика (Объединено), кто-нибудь их решал?
сообщение
Сообщение #1


Новичок
*

Группа: Пользователи
Сообщений: 38
Пол: Мужской
Реальное имя: Алексей

Репутация: -  0  +


Написать программу построения графика функции. Вывод графика осуществлять в созданном на экране окне , в другом окне выполнить вывод уравнения функции с конкретными значениями параметров. Выполнить смену 3-х экранов с различными значениями параметров.
Цепная линия:


Добавлено через 4 мин.
там наверное плохо видно формулу:


Эскизы прикрепленных изображений
Прикрепленное изображение Прикрепленное изображение
 Оффлайн  Профиль  PM 
 К началу страницы 
+ Ответить 
сообщение
Сообщение #2


Уникум
*******

Группа: Пользователи
Сообщений: 6 823
Пол: Мужской
Реальное имя: Лопáрь (Андрей)

Репутация: -  159  +


Глянь здесь: Построение любого графика
Я не совсем понял про окна: это на одном экране? Если так, то можно использовать SetViewPort.


--------------------
я - ветер, я северный холодный ветер
я час расставанья, я год возвращенья домой
 Оффлайн  Профиль  PM 
 К началу страницы 
+ Ответить 
сообщение
Сообщение #3


Новичок
*

Группа: Пользователи
Сообщений: 38
Пол: Мужской
Реальное имя: Алексей

Репутация: -  0  +


Написать программу построения графика функции. Вывод графика осуществлять в созданном на экране окне , в другом окне выполнить вывод уравнения функции с конкретными значениями параметров. Выполнить смену 3-х экранов с различными значениями параметров.
Цепная линия:


Эскизы прикрепленных изображений
Прикрепленное изображение
 Оффлайн  Профиль  PM 
 К началу страницы 
+ Ответить 
сообщение
Сообщение #4


Гость






ну может поможите?
 К началу страницы 
+ Ответить 
сообщение
Сообщение #5


Гуру
*****

Группа: Пользователи
Сообщений: 1 220
Пол: Мужской

Репутация: -  16  +


В ФАК'е Альтаир выкладывал код для построения графика любой ф-ции. Ищи.
 Оффлайн  Профиль  PM 
 К началу страницы 
+ Ответить 
сообщение
Сообщение #6


Гость






Ну а в чем проблема? Это у тебя обычный график, не параметрический...

Тему "Построение любого графика" видел? Подставляешь туда свою функцию, и она чертит тебе график... Если надо 3 штуки - в цикле...
 К началу страницы 
+ Ответить 
сообщение
Сообщение #7


Уникум
*******

Группа: Пользователи
Сообщений: 6 823
Пол: Мужской
Реальное имя: Лопáрь (Андрей)

Репутация: -  159  +


 ! 
ALexSt, дублировать темы - твое хобби? Оно не приветствуется тут..



--------------------
я - ветер, я северный холодный ветер
я час расставанья, я год возвращенья домой
 Оффлайн  Профиль  PM 
 К началу страницы 
+ Ответить 
сообщение
Сообщение #8


Новичок
*

Группа: Пользователи
Сообщений: 38
Пол: Мужской
Реальное имя: Алексей

Репутация: -  0  +


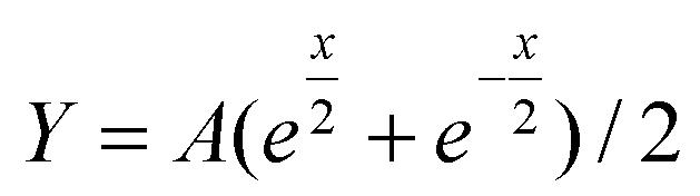
good.gif good.gif good.gif как записать эту формулу на паскале? good.gif good.gif good.gif


Эскизы прикрепленных изображений
Прикрепленное изображение
 Оффлайн  Профиль  PM 
 К началу страницы 
+ Ответить 
сообщение
Сообщение #9


Профи
****

Группа: Пользователи
Сообщений: 559
Пол: Мужской
Реальное имя: Бруно

Репутация: -  10  +


y := A * (Exp(x/2) - Exp(-x/2)) / 2;
Это гиперболический синус ?


--------------------
Цитата
Imagination is more important than knowledge.
Albert Einstein
 Оффлайн  Профиль  PM 
 К началу страницы 
+ Ответить 
сообщение
Сообщение #10


Новичок
*

Группа: Пользователи
Сообщений: 38
Пол: Мужской
Реальное имя: Алексей

Репутация: -  0  +


Спасибо, а вот про ГИПЕРсинус не имею никакого понятия, в задании ф-ция значится как цепная линия
 Оффлайн  Профиль  PM 
 К началу страницы 
+ Ответить 
сообщение
Сообщение #11


Новичок
*

Группа: Пользователи
Сообщений: 38
Пол: Мужской
Реальное имя: Алексей

Репутация: -  0  +


я подставил в задачку Альтаира по построению любой функции свою, получилась какая-то ерунда. Вот оно:
program grafshit;
Uses Graph,crt;
const shag=0.0001;
lgr = -50;
pgr = 50;
zcrtX=320;
zcrty=240;
mtrX=10;
mtrY=10;
colorG=15;
colorOXY=4;
OXYminX=-200;
OXYmaxX=200;
OXYminY=-200;
oxymaxY=200;

Var grDriver : Integer;
grMode : Integer;

x,y,a:real;{extended;}
i:integer;
function f(a,x:real):real;
begin y:=a*(exp(x/2)+exp(-x/2))/2
end;
Begin
grDriver:=Detect;
InitGraph(grDriver, grMode, 'c:\bp\bgi\');
for i:=OXYminX to OXYmaxX do putpixel(zcrtX+i,zcrty,colorOXY); {}
for i:=OXYminY to OXYmaxY do putpixel(zcrtX,zcrty-i,colorOXY); {}

x:=lgr; {}
while x<=pgr do {}
begin
readln(x);
readln(a);
f(a,x);;
if x<>2 then begin y:=abs(x/(x-2))-1; {}
y:=f(a,x);
writeln(y:1:8); {}
putpixel(zcrtx+trunc(x*mtrX),zcrty-trunc(y*mtrY),colorg) end; {}
x:=x+shag;
end;
readkey;
closegraph;
end.


И, ещё может подскажите что такое A в формуле, как сделать три окна! на одном экране(lapp писал что через SetViewPort - но как?)&( я даже не пойму что именно должно в них быть), зачем делать смену экранов?
Пожалуйста напишите в пустые фигурные скобки в проге что там происходит!

Сообщение отредактировано: AlexSt -
 Оффлайн  Профиль  PM 
 К началу страницы 
+ Ответить 
сообщение
Сообщение #12


Гуру
*****

Группа: Пользователи
Сообщений: 1 220
Пол: Мужской

Репутация: -  16  +


Что-то рисует

program grafshit;
Uses Graph,crt;
const shag=0.0001;
lgr = -50;
pgr = 50;
zcrtX=320;
zcrty=240;
mtrX=10;
mtrY=10;
colorG=15;
colorOXY=4;
OXYminX=-200;
OXYmaxX=200;
OXYminY=-200;
oxymaxY=200;

Var grDriver : Integer;
grMode : Integer;

x,y,a:real;{extended;}
i:integer;
function f(a,x:real):real;
begin
y:=a*(exp(x/2)+exp(-x/2))/2;
f:=y;
end;
Begin
grDriver:=Detect;
InitGraph(grDriver, grMode, 'c:\bp\bgi\');
for i:=OXYminX to OXYmaxX do putpixel(zcrtX+i,zcrty,colorOXY); {}
for i:=OXYminY to OXYmaxY do putpixel(zcrtX,zcrty-i,colorOXY); {}

x:=-5; {}
{readln(x);}
readln(a);


while x<=5 do {}
begin
{f(a,x);;}
if x<>2 then
begin
{y:=abs(x/(x-2))-1; {}
y:=f(a,x);
{writeln(y:1:8); {}
putpixel(zcrtx+trunc(x*mtrX),zcrty-trunc(y*mtrY),colorg) end; {}
x:=x+shag;
end;
readkey;
closegraph;
end.
 Оффлайн  Профиль  PM 
 К началу страницы 
+ Ответить 
сообщение
Сообщение #13


Новичок
*

Группа: Пользователи
Сообщений: 38
Пол: Мужской
Реальное имя: Алексей

Репутация: -  0  +


а то ли "рисует"? я не думаю что тут 3 "окна"!
 Оффлайн  Профиль  PM 
 К началу страницы 
+ Ответить 
сообщение
Сообщение #14


Гость






Про цикл никогда не слышал?

Что, большая проблема зациклить приведенный код, и изменять A внутри этого цикла? Все равно, НИКТО не сможет решить эту задачу именно так, как это нужно тебе... Потому что ВСЕГДА ты будешь недоволен: тут пиксель не в том месте зажегся, тут шрифт не тот, здесь окно должно быть не сверху, а снизу, ну и т.д. dry.gif
 К началу страницы 
+ Ответить 
сообщение
Сообщение #15


Новичок
*

Группа: Пользователи
Сообщений: 38
Пол: Мужской
Реальное имя: Алексей

Репутация: -  0  +


Ну, извините. Зачёт послезавтра, а мне нужно точное решение. Volvo, ты думаешь "3 окна" в условии это 3 варианта изменения параметра(я не знаю что имеется ввиду под тремя окнами). unsure.gif
 Оффлайн  Профиль  PM 
 К началу страницы 
+ Ответить 
сообщение
Сообщение #16


Гуру
*****

Группа: Пользователи
Сообщений: 1 220
Пол: Мужской

Репутация: -  16  +


Цитата(AlexSt @ 26.05.2007 22:27) *

Ну, извините. Зачёт послезавтра, а мне нужно точное решение. Volvo, ты думаешь "3 окна" в условии это 3 варианта изменения параметра(я не знаю что имеется ввиду под тремя окнами). unsure.gif

Графические окна - SetViewPort. Тебе же Lapp сказал уже.
 Оффлайн  Профиль  PM 
 К началу страницы 
+ Ответить 
сообщение
Сообщение #17


Гость






подскажите плииз! как в паскале степени и корни изображауться?? blink.gif
 К началу страницы 
+ Ответить 
сообщение
Сообщение #18


Гуру
*****

Группа: Пользователи
Сообщений: 1 220
Пол: Мужской

Репутация: -  16  +


http://forum.pascal.net.ru/index.php?act=findpost&pid=38227
 Оффлайн  Профиль  PM 
 К началу страницы 
+ Ответить 

 Ответить  Открыть новую тему 
1 чел. читают эту тему (гостей: 1, скрытых пользователей: 0)
Пользователей: 0

 





- Текстовая версия 26.05.2026 11:03
500Gb HDD, 6Gb RAM, 2 Cores, 7 EUR в месяц — такие хостинги правда бывают
Связь с администрацией: bu_gen в домене octagram.name