эх...
самой через 11 дней сдавать

)
1. что такое общее ожидаемое? n - количество испытаний?
2. вместо кси пишу z
По опред. ф-ции распределения:
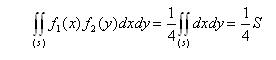
G(z)=P(Z<z)=P(x-y<z)
x-y<z выполняется для точек, лежащих в квадрате ниже прямой x-y=z
с другой стороны, Х и У независимы, поэтому G(z)=
S - величина той площади квадрата, которая лежит ниже прямой. Очевидно, что она зависит от z
если z<-1, то G(z)=0
если -1<z<0, то G(z)=sqr(z)/8
если 0<z<1, то G(z)=1/4 - sqr(1-z)/8
ну и при z>1, соответственно, G(z)=1
вроде не ошиблась нигде...
Все содержимое данного сообщения (кроме цитат) является моим личным скромным мнением и на статус истины в высшей инстанции не претендует.
На вопросы по программированию, физике, математике и т.д. в аське и личке не отвечаю. Даже "один-единственный раз" в виде исключения!