Подскажите где ошибка.
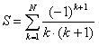
Дано натуральное число N вычислить(+протабулировать):
Вот что у меня получилось:
var
k, j,d,n:integer;
rs,l, result:real;
function summ(n:integer):real;
var
k,j:integer;
l,s:real;
begin
s:=0;
k:=1;
for j:=1 to n do
begin
if ((k+1) mod 2) =0 then
l:=1/k*(k+1)
else
l:=-1/k*(k+1);
s:=s+l;
end;
result:=s;
end;
begin
writeln('n=');read(n);
if n<1 then begin
writeln('n<1');exit;end;
writeln('shag=');read(k);
if k<1 then begin
writeln ('k<1');
exit;
end;
writeln('kolichestvo=');read(d);
if d<1 then begin
writeln('d<1');exit;end;
for j:=1 to d do
begin
rs:=summ(n);
writeln(j,' ',n,' ',rs);
n:=n+k;
end;
end.












