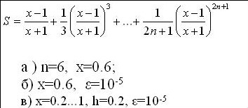
Написати програму знаходження суми:
а) n членів ряду для заданого х за допомогою циклу з параметром;
б) членів ряду з точністю ε для заданого х та їх кількість, використавши цикл з післяумовою.
в) членів ряду з точністю ε для заданої послідовності х. У зовнішньому циклі для подачі аргументу х використати оператор циклу з передумовою, у внутрішньому – обчислити суму для конкретного х з точністю до ε, використовуючи оператор циклу з післяумовою; вивести на друк значення S, х, n.











