Цитата(Vinchkovsky @ 1.03.2009 11:47)

Как сложить? Они ведь взаимоперпендикулярные, или как? Как напрямлена сила с условия к m*w2/r ?
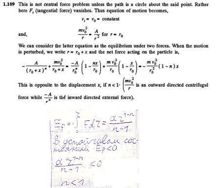
Хм.. Если возникают подобные разночтения, то нужен рисунок. Он был в условии задачи? Я понял, что данная сила - это притяжение, то есть она направлена к центру окружности (а иначе и быть не может, ибо она должна обеспечивать центростремительное ускорение). Так что она направлена к центру, а центробежная (как следует из названия) - от центра. Складываем их с разными знаками.
Цитата(Vinchkovsky @ 1.03.2009 11:47)

При этом ответ разве получится в форме неравенства?
Это ты про n? Да, конечно. Увидишь, что при некоторых n кривая имеет минимум, при других - нет.
Цитата(Vinchkovsky @ 1.03.2009 11:47)

Условие минимума искать производной? Но тогда зачем интегрировать?

Это уже технический вопрос. Для того, чтоб найти устойчивое равновесие, я привлек ПЭ. То, что тебе нужно совершать два противоположных действия - другой вопрос. Для анализа ПЭ нужна - и тут ничего не сделаешь. Если хочешь сэкономить на чернилах - сам сообразишь, как

.
Цитата(Vinchkovsky @ 1.03.2009 11:47)

почему в том решении потенциальная энергия должна быть отрицательной? Это ошибка, да?
Если честно, я не углублялся в решение. Мелко там все как-то.. Ладно, сейчас гляну.
Посмотрел, но все равно не очень понятно. Возможно, имеется в виду следующее. Из равенства сил мы находим радиус. Ясно, что это есть равновесие (без возмущений это вращение будет происходить бесконечно). Осталось выяснить, устойчивое оно или нет. Иными словами, мы знаем, что производная равна нулю, но нужно выяснить - это такой ноль как у квадратной параболы (ямка, устойчивое положение) или как у кубической (полочка, неустойчивое равновесие)? Тут мы привлекаем тот факт, что (в подобных конфигурациях) полагается, что ПЭ равна нулю на бесконечности (что, вообще-то, неверно для неинерциальных СО). А если так, то если ПЭ в этой точке отрицательна, то она впоследствии будет подниматься (до нуля), а значит это минимум, а не полочка.
Я извиняюсь за нежелание как следует разбираться с решением, но, как я уже сказал, задача мне не нравится..