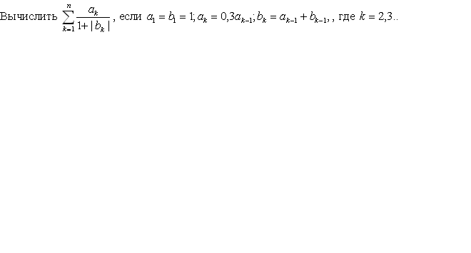
Сделал такую заготовку:
program prp7;
var
i,n:integer;
s,k:real;
begin
s:=0.5;{т. к. в первом члене a и b =1}
writeln('Введите n');
readln(n);
writeln('Введите k');
readln(k);
for 2 to n do
begin
s:=s+?;
end;
writeln(s);
end.
Что дальше не знаю.
Сообщение отредактировано: retenr -












