IPB
ЛогинПароль:

> Прочтите прежде чем задавать вопрос!

1. Заголовок темы должен быть информативным. В противном случае тема удаляется ...
2. Все тексты программ должны помещаться в теги [code=pas] ... [/code], либо быть опубликованы на нашем PasteBin в режиме вечного хранения.
3. Прежде чем задавать вопрос, см. "FAQ", если там не нашли ответа, воспользуйтесь ПОИСКОМ, возможно такую задачу уже решали!
4. Не предлагайте свои решения на других языках, кроме Паскаля (исключение - только с согласия модератора).
5. НЕ используйте форум для личного общения, все что не относится к обсуждению темы - на PM!
6. Одна тема - один вопрос (задача)
7. Проверяйте программы перед тем, как разместить их на форуме!!!
8. Спрашивайте и отвечайте четко и по существу!!!

 
 Ответить  Открыть новую тему 
> составление блок схем, нужна помощ
сообщение
Сообщение #1





Группа: Пользователи
Сообщений: 1
Пол: Женский

Репутация: -  0  +


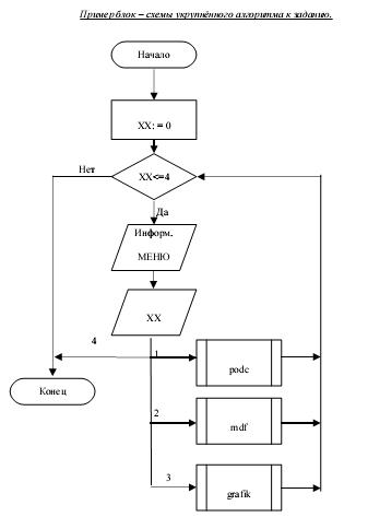
Добрый день! нужна помощ в составлении укрупненного алгоритмов. Все задания готовы и работают!
ПОМОГИТЕ ИЛИ ОБЪЯСНИТЕ КАК СОСТАВЛЯТЬ ТАКОЙ АЛГОРИТМ.НИЖЕ В ФАЙЛЕ ПРИКРЕПЛЮ ПРИМЕР, КАК ДОЛЖНО ВЫГЛЯДЕТЬ! Мли хотя бы обычный алгоритм помогите составить! или скиньте ссылку на прогу для автоматического создания блок-схем..все куда захожу не устанавливаются
ЗАРАНЕЕ СПАСИБО )
Задание 1. Дана вещественная матрица nxm. Упорядочить ее строки по возрастанию суммы их элементов.
const
nmax=100;
var
i,j,n,m,q: integer;
a: array[1..nmax,1..nmax] of real;
b: array[1..nmax] of real;
sum,tmp: real;
begin
randomize;
write('Введите размер матрицы n и m: ');
readln(n,m);
writeln('Исходная матрица');
for i:=1 to n do
begin
sum:=0;
for j:=1 to m do
begin
a[i,j]:=random(99)+random;
write(a[i,j]:7:2);
sum:=sum+a[i,j];
end;
b[i]:=sum;
write(' Сумма элементов ряда = ',sum:7:2);
writeln;
end;
writeln;

for i:=2 to n do
for j:=n downto i do
if b[j-1]>b[j] then
begin
for q:=1 to m do
begin
tmp:=a[j-1,q];
a[j-1,q]:=a[j,q];
a[j,q]:=tmp;
end;
tmp:=b[j-1];
b[j-1]:=b[j];
b[j]:=tmp;
end;

writeln('Отсортированная по возрастанию сумм строк матрица :');
for i:=1 to n do
begin
for j:=1 to m do
write(a[i,j]:7:2);
writeln;
end;
readln;
end.

Задание 2. В вводимой строке заменить самое часто встречаемое слово на обратное.
var
s,s1: string;
i,n: byte;
c: char;
slovo,maxslovo:string;
k,maxk:integer;
function fw(s:string;var w:string):boolean;
const
c=['а'..'я','А'..'Я'];
var
i:integer;
begin
while (not (s[1] in c)) and (length(s)>0) do delete(s,1,1);
if length(s)>0 then
begin
s:=s+' ';
i:=1;
while (s[i] in c) do inc(i);
w:=copy(s,1,i-1);
fw:=true;
end
else
begin
w:='';
fw:=false;
end;
end;
begin
write('Введите строку: ');
readln(s);
s1:=s;
maxk:=0;
maxslovo:='';
while fw(s1,slovo) do
begin
k:=0;
while pos(slovo,s1)>0 do
begin
inc(k);
delete(s1,pos(slovo,s1),length(slovo));
end;
if k>maxk then
begin
maxslovo:=slovo;
maxk:=k;
end;
end;
s:=maxslovo;
n := length(s) div 2;
for i := 1 to n do begin
c := s[i];
s[i] := s[length(s)-i+1];
s[length(s)-i+1] := c;
end;
write('Самое часто встречаемое слово:', ' ');
writeln(maxslovo);
write('Перевернутое слово:',' ');
writeln(s);
end.

Задание 3. Вычеркнуть из слова Х согласные буквы, стоящие на нечетных местах.
var
str: string;
i: integer;
sogl : set of char;
begin
sogl :=['Б'..'Д','б'..'д','Ж','ж','З','з','К'..'Н','к'..'н','П'..'Т',
'п'..'т','Ф'..'Щ','ф'..'щ','Ъ','ъ','Ь','ь'];
write('Введите слово: ');
readln(str);
for i:=length(str) downto 1 do
if (str[i] in sogl)and(i mod 2<>0) then
delete(str,i,1);
write('Полученное слово: ');
writeln(str);
end.

Задание 4. При поступлении на музыкально-педагогический факультет на абитуриентов собираются сведения: фамилия, музыкальный инструмент. Для поступления необходимо сдать экзамен по специальности. Составить списки для данного экзамена, в зависимости от специальности.
const
nmax=100;
type
muz=record
name: string[20];
inst: string[15];
end;
var
a: array[1..nmax] of muz;
i,n,k: integer;
str: string;
begin
write('Сколько абитуриентв поступает в училище?: ');
readln(n);
writeln('Введите данные о абитуриентах');
for i:=1 to n do
begin
with a[i] do
begin
write(i,' Фамилия: ');
readln(name);
write(' Музыкальный нструмент: ');
readln(inst);
end;
end;
write('Введите наименование муз. инструмента: ');
readln(str);
writeln('Список абитуриентов, сдающих экзамен <',str,'>');
for i:=1 to n do
with a[i] do
if a[i].inst=str then
begin
inc(k);
writeln(k,'. ',a[i].name);
end;
end.

Сообщение отредактировано: Юленька 25 -


Эскизы прикрепленных изображений
Прикрепленное изображение
 Оффлайн  Профиль  PM 
 К началу страницы 
+ Ответить 

 Ответить  Открыть новую тему 
1 чел. читают эту тему (гостей: 1, скрытых пользователей: 0)
Пользователей: 0

 





- Текстовая версия 24.04.2026 18:02
500Gb HDD, 6Gb RAM, 2 Cores, 7 EUR в месяц — такие хостинги правда бывают
Связь с администрацией: bu_gen в домене octagram.name