IPB
ЛогинПароль:

 
 Ответить  Открыть новую тему 
> Адиабатное сжатие, теплотехника
сообщение
Сообщение #1


snoWolf
**

Группа: Пользователи
Сообщений: 80
Пол: Мужской
Реальное имя: Артем

Репутация: -  0  +


Из области теплотехники:
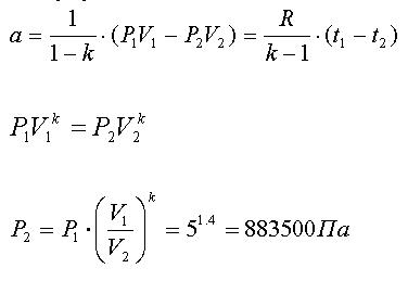
Смесь светильного газа и воздуха (k=1.38) с давлением p1= 90кПа и температурой t1=50 гр. Цельсия, адиабатно сжимается до объема в 5 раз меньшего чем начальный.
Найти конечные давление (p2), температуру (t2), и количество отведенной теплоты q.



Я так понял, что q =0, т.к. процесс адиабатный. V1/V2 = 5;
Вычислил p2, а вот как вычислить t2 не знаю. Если вычислить t2, то можно легко вычислить и все оставшееся. Подскажите, как t2 высчитать!
Вот, прикрепляю скрин, того что сделал:


Эскизы прикрепленных изображений
Прикрепленное изображение

--------------------
Нас десять братьев на тропе, идем мы быстро, на легке ...
 Оффлайн  Профиль  PM 
 К началу страницы 
+ Ответить 
сообщение
Сообщение #2


Уникум
*******

Группа: Пользователи
Сообщений: 6 823
Пол: Мужской
Реальное имя: Лопáрь (Андрей)

Репутация: -  159  +


Цитата(Art87 @ 15.03.2006 16:46) *

Подскажите, как t2 высчитать!

Тебе помогут Менделеев и Клапейрон smile.gif


--------------------
я - ветер, я северный холодный ветер
я час расставанья, я год возвращенья домой
 Оффлайн  Профиль  PM 
 К началу страницы 
+ Ответить 
сообщение
Сообщение #3


snoWolf
**

Группа: Пользователи
Сообщений: 80
Пол: Мужской
Реальное имя: Артем

Репутация: -  0  +


lapp
Масса ведь тоже неизвестна ...
Да и подойдет ли он под адиобатное сжатие?

Сообщение отредактировано: Art87 -


Эскизы прикрепленных изображений
Прикрепленное изображение

--------------------
Нас десять братьев на тропе, идем мы быстро, на легке ...
 Оффлайн  Профиль  PM 
 К началу страницы 
+ Ответить 
сообщение
Сообщение #4


Уникум
*******

Группа: Пользователи
Сообщений: 6 823
Пол: Мужской
Реальное имя: Лопáрь (Андрей)

Репутация: -  159  +


Цитата(Art87 @ 16.03.2006 9:56) *

Масса ведь тоже неизвестна ...
Да и подойдет ли он под адиобатное сжатие?

Этот закон подходит абсолютно под все! smile.gif
Адиабатическое сжатие - это некий специфический процесс, при котором сохранятеся (постоянна) некоторая комбинация двух величин: давления и объема или любой другой пары из P,V и T. А уравнение Клапейрона связывает все три величины, и верно оно всегда для постоянной массы газа. Фактически оно утверждает, что PV/T есть постоянная величина для некоторой массы газа. Иными словами:
P1*V1/T1 = P2*V2/T2
- где 1 - это первое состояние, а 2 - второе. И в этой форме масса не нужна - она выпала! Главное, чтоб в первом и втором состоянии газу было то же самое количество.
Составь такую комбинацию для своей задачи и подставь V2=V1/5 - и все..

Еще раз, чтоб не оставалось сомнений: Клапейрон и адиабата - это уравнения разного класса.
Первое - общий закон, выполняется всегда.
Второе - описание специального процесса, выполняется только в нем.

Все понятно? Это важно прочувствовать. Если что-то недопонял - пиши.


--------------------
я - ветер, я северный холодный ветер
я час расставанья, я год возвращенья домой
 Оффлайн  Профиль  PM 
 К началу страницы 
+ Ответить 
сообщение
Сообщение #5


snoWolf
**

Группа: Пользователи
Сообщений: 80
Пол: Мужской
Реальное имя: Артем

Репутация: -  0  +


Извиняюсь, дико прогнал. Все уже давным-давно сделал.

Сообщение отредактировано: Art87 -


--------------------
Нас десять братьев на тропе, идем мы быстро, на легке ...
 Оффлайн  Профиль  PM 
 К началу страницы 
+ Ответить 
сообщение
Сообщение #6


Уникум
*******

Группа: Пользователи
Сообщений: 6 823
Пол: Мужской
Реальное имя: Лопáрь (Андрей)

Репутация: -  159  +


Цитата(Art87 @ 16.03.2006 12:43) *

V1 из него не получиться сократить…

Ты смеешься?? Давай обратно в пятый класс..
Я думал, мы говорим про физику..


--------------------
я - ветер, я северный холодный ветер
я час расставанья, я год возвращенья домой
 Оффлайн  Профиль  PM 
 К началу страницы 
+ Ответить 
сообщение
Сообщение #7


Гость






Вот из этой формулы.
T2/T1=(P2/P1)^((k-1)/k)
 К началу страницы 
+ Ответить 
сообщение
Сообщение #8


Гость






Cheap Cialis Order Online
 К началу страницы 
+ Ответить 

 Ответить  Открыть новую тему 
1 чел. читают эту тему (гостей: 1, скрытых пользователей: 0)
Пользователей: 0

 





- Текстовая версия 24.04.2026 18:30
500Gb HDD, 6Gb RAM, 2 Cores, 7 EUR в месяц — такие хостинги правда бывают
Связь с администрацией: bu_gen в домене octagram.name