IPB
ЛогинПароль:

> Компиляция правил для данного раздела

1. Заголовок темы должен быть информативным. В противном случае тема закрывается и удаляется ...
2. НЕ используйте форум для личного общения, все что не относится к обсуждению темы - на PM!
3. Одна тема - один вопрос (задача)
4. Спрашивайте и отвечайте четко и по существу!!!

> Квадратичные формы, Привидение к диагональному виду
сообщение
Сообщение #1


Новичок
*

Группа: Пользователи
Сообщений: 34
Пол: Мужской

Репутация: -  0  +


Помогите привести любым способом к диагональному(или каноническому)) виду уравнение
Прикрепленное изображение
..у самого никак не получается..
 Оффлайн  Профиль  PM 
 К началу страницы 
+ Ответить 
 
 Ответить  Открыть новую тему 
Ответов(1 - 4)
сообщение
Сообщение #2


Пионер
**

Группа: Пользователи
Сообщений: 55
Пол: Мужской
Реальное имя: Алексей

Репутация: -  0  +


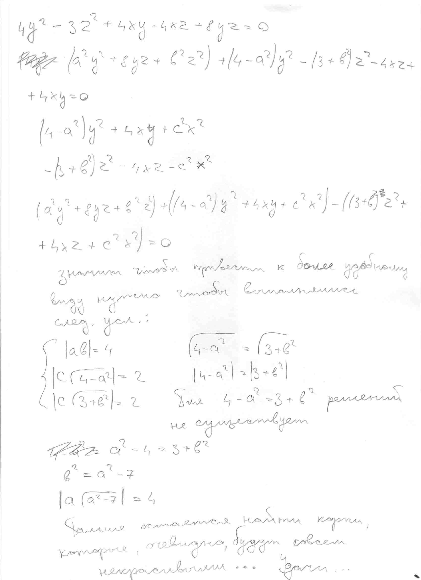
попробовал попреобразовывать - вот к чему пришел
Прикрепленное изображение

Сообщение отредактировано: zZz -
 Оффлайн  Профиль  PM 
 К началу страницы 
+ Ответить 
сообщение
Сообщение #3


Новичок
*

Группа: Пользователи
Сообщений: 34
Пол: Мужской

Репутация: -  0  +


спасибо, но думаю что то не то))
..в ответах все более-менее ровно получается((

..получаем уравнение конуса...это номер в Беклемишевой (11.22 п.2)...
 Оффлайн  Профиль  PM 
 К началу страницы 
+ Ответить 
сообщение
Сообщение #4


Пионер
**

Группа: Пользователи
Сообщений: 55
Пол: Мужской
Реальное имя: Алексей

Репутация: -  0  +


седня посмотрел своё же решение: что-то не то в особенности с модулями(устал наверно вчера), вообщем точно не знаю, но что-то похожее должно быть...
 Оффлайн  Профиль  PM 
 К началу страницы 
+ Ответить 
сообщение
Сообщение #5


Новичок
*

Группа: Пользователи
Сообщений: 34
Пол: Мужской

Репутация: -  0  +


..самое интересное там вообще не должно быть модулей!!
..ладно, еще попробую сам как-нибудь)))
 Оффлайн  Профиль  PM 
 К началу страницы 
+ Ответить 

 Ответить  Открыть новую тему 
1 чел. читают эту тему (гостей: 1, скрытых пользователей: 0)
Пользователей: 0

 





- Текстовая версия 19.02.2026 22:46
500Gb HDD, 6Gb RAM, 2 Cores, 7 EUR в месяц — такие хостинги правда бывают
Связь с администрацией: bu_gen в домене octagram.name