IPB
ЛогинПароль:

> Прочтите прежде чем задавать вопрос!

1. Заголовок темы должен быть информативным. В противном случае тема удаляется ...
2. Все тексты программ должны помещаться в теги [code=pas] ... [/code], либо быть опубликованы на нашем PasteBin в режиме вечного хранения.
3. Прежде чем задавать вопрос, см. "FAQ", если там не нашли ответа, воспользуйтесь ПОИСКОМ, возможно такую задачу уже решали!
4. Не предлагайте свои решения на других языках, кроме Паскаля (исключение - только с согласия модератора).
5. НЕ используйте форум для личного общения, все что не относится к обсуждению темы - на PM!
6. Одна тема - один вопрос (задача)
7. Проверяйте программы перед тем, как разместить их на форуме!!!
8. Спрашивайте и отвечайте четко и по существу!!!

> Вычислить значение определённого интеграла с помощью рекурсии
сообщение
Сообщение #1


Новичок
*

Группа: Пользователи
Сообщений: 49
Пол: Мужской

Репутация: -  0  +


Для заданных границ интегрирования а и b вычислите значение определённого интеграла следующего вида:

∫dx/cosn x= (1/(n-1))*(sin x/cosn-1x)+((n-2)/(n-1)∫dx/cosn-2 x,n=>2
ln tg(π/4+x/2),n=1
x,n=0



Помогите пожалуйста)))

Сообщение отредактировано: Zigfried -
 Оффлайн  Профиль  PM 
 К началу страницы 
+ Ответить 
 
 Ответить  Открыть новую тему 
Ответов(1 - 5)
сообщение
Сообщение #2


Уникум
*******

Группа: Пользователи
Сообщений: 6 823
Пол: Мужской
Реальное имя: Лопáрь (Андрей)

Репутация: -  159  +


Поясни, плз, куда и как тут приткнуть рекурсию.

Цитата(Zigfried @ 22.03.2010 19:30) *
P.S. n около косинусов это степень


М
А нормальные показатели в лом было сделать? Кнопочки для этого есть в форме..
Исправь, плз



--------------------
я - ветер, я северный холодный ветер
я час расставанья, я год возвращенья домой
 Оффлайн  Профиль  PM 
 К началу страницы 
+ Ответить 
сообщение
Сообщение #3


Новичок
*

Группа: Пользователи
Сообщений: 49
Пол: Мужской

Репутация: -  0  +


∫dx/cosn x равен системе которая при n=>2 равен (1/(n-1))*(sin x/cosn-1x)+((n-2)/(n-1)∫dx/cosn-2 x при n=1 равен ln tg(π/4+x/2) и при n=0 равен х. Преподаватель сказал делать ещё через формулу Симпсона.
 Оффлайн  Профиль  PM 
 К началу страницы 
+ Ответить 
сообщение
Сообщение #4


Новичок
*

Группа: Пользователи
Сообщений: 49
Пол: Мужской

Репутация: -  0  +


ну так не поможете а то я вобще без понятия как это делать??? wacko.gif
 Оффлайн  Профиль  PM 
 К началу страницы 
+ Ответить 
сообщение
Сообщение #5


Гость






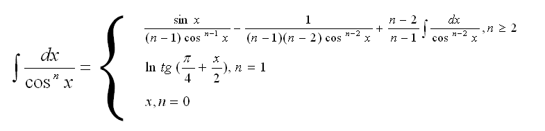
Неправда... Формула вообще-то выглядит вот так:
Прикрепленное изображение

У тебя было записано нечто другое...

Как делается рекурсия? Вот так и делается:

function f(x: double; n: integer): double;
begin
if n = 0 then f := x
else
if n = 1 then f := { вычисляешь f по второй формуле, для n = 1 }
else
f := { первое слагаемое из формулы } - {второе слагаемое из формулы } +
(n - 2) / (n - 1) * f(x, n - 2);
end;
А дальше эта функция передается в функцию вычисления интеграла. В FAQ-е есть примеры...

Справишься?
 К началу страницы 
+ Ответить 
сообщение
Сообщение #6


Новичок
*

Группа: Пользователи
Сообщений: 49
Пол: Мужской

Репутация: -  0  +


канеш справлюсь))) Пасибо огромное выручили)
 Оффлайн  Профиль  PM 
 К началу страницы 
+ Ответить 

 Ответить  Открыть новую тему 
1 чел. читают эту тему (гостей: 1, скрытых пользователей: 0)
Пользователей: 0

 





- Текстовая версия 25.04.2026 21:05
500Gb HDD, 6Gb RAM, 2 Cores, 7 EUR в месяц — такие хостинги правда бывают
Связь с администрацией: bu_gen в домене octagram.name