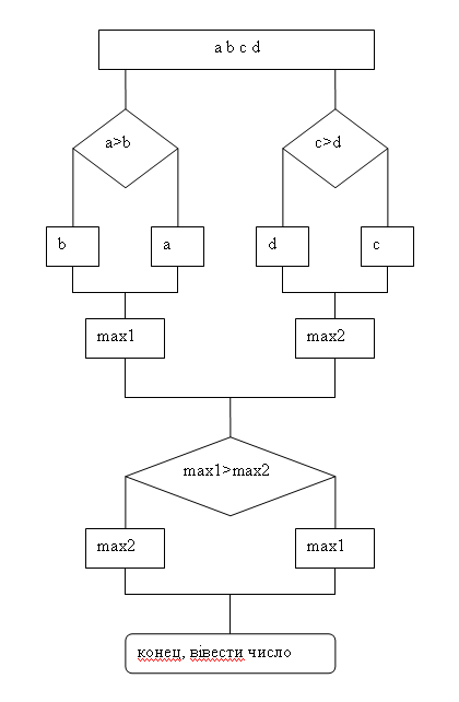
{ Найти наибольшее из четырёх чисел. }
uses crt;
var a,b,c,d,max,max1,max2 : real;
procedure bol2( aa,bb : real; var maxmax : real );
begin
if aa>bb then maxmax:=aa
else maxmax:=bb;
end;
begin
clrscr;
write(‘введте a,b,c,d через пробел ‘);
readln(a,b,c,d);
bol2(a,b,max1);
bol2(c,d,max2);
bol2(max1,max2,max);
writeln(‘max=’,max);
readln;
end.
Добавлено через 13 мин.
ебанетый сайт! сук











