IPB
ЛогинПароль:

> Компиляция правил для данного раздела

1. Заголовок темы должен быть информативным. В противном случае тема закрывается и удаляется ...
2. НЕ используйте форум для личного общения, все что не относится к обсуждению темы - на PM!
3. Одна тема - один вопрос (задача)
4. Спрашивайте и отвечайте четко и по существу!!!

> Вычисление интегралов, типичные интегралы...
сообщение
Сообщение #1


Новичок
*

Группа: Пользователи
Сообщений: 13
Пол: Мужской

Репутация: -  0  +


привет! помогите чем сможете:
тут всего 20 интегралов:
http://epr2.stsland.ru/help.jpg
ну или хотябы к-способом решать к-л из них...........smile.gif
 Оффлайн  Профиль  PM 
 К началу страницы 
+ Ответить 
 
 Ответить  Открыть новую тему 
Ответов(1 - 7)
сообщение
Сообщение #2


Пионер
**

Группа: Пользователи
Сообщений: 67
Пол: Мужской

Репутация: -  0  +


Вот сделала парочку (пока) скоро выполню остальные


Эскизы прикрепленных изображений
Прикрепленное изображение

--------------------
На горе лежит дискета
У неё испорчен boot
Через дырочку в конверте
Её вирусы грызут
 Оффлайн  Профиль  PM 
 К началу страницы 
+ Ответить 
сообщение
Сообщение #3


Пионер
**

Группа: Пользователи
Сообщений: 67
Пол: Мужской

Репутация: -  0  +


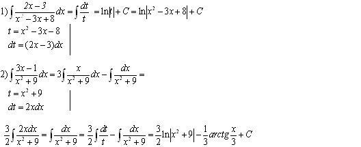
Задание №7 , задание №14 и 13

Сообщение отредактировано: NightPaladin -


Эскизы прикрепленных изображений
Прикрепленное изображение Прикрепленное изображение

--------------------
На горе лежит дискета
У неё испорчен boot
Через дырочку в конверте
Её вирусы грызут
 Оффлайн  Профиль  PM 
 К началу страницы 
+ Ответить 
сообщение
Сообщение #4


Новичок
*

Группа: Пользователи
Сообщений: 13
Пол: Мужской

Репутация: -  0  +


Цитата(NightPaladin @ 15.05.05 6:34)
Задание №7 , задание №14 и 13

спасибо! :thanks:
 Оффлайн  Профиль  PM 
 К началу страницы 
+ Ответить 
сообщение
Сообщение #5


Пионер
**

Группа: Пользователи
Сообщений: 67
Пол: Мужской

Репутация: -  0  +


На здоровье :D

вот №13 и № 5

Сообщение отредактировано: NightPaladin -


Эскизы прикрепленных изображений
Прикрепленное изображение

--------------------
На горе лежит дискета
У неё испорчен boot
Через дырочку в конверте
Её вирусы грызут
 Оффлайн  Профиль  PM 
 К началу страницы 
+ Ответить 
сообщение
Сообщение #6


Пионер
**

Группа: Пользователи
Сообщений: 67
Пол: Мужской

Репутация: -  0  +


Задание №6.
Кста в задании 8 возможна ошибка - переправерь условие ;)


Эскизы прикрепленных изображений
Прикрепленное изображение

--------------------
На горе лежит дискета
У неё испорчен boot
Через дырочку в конверте
Её вирусы грызут
 Оффлайн  Профиль  PM 
 К началу страницы 
+ Ответить 
сообщение
Сообщение #7


Новичок
*

Группа: Пользователи
Сообщений: 13
Пол: Мужской

Репутация: -  0  +


Цитата(NightPaladin @ 15.05.05 17:28)
Задание №6.
Кста в задании 8 возможна ошибка - переправерь условие ;)

е^x*cos^2(x)
 Оффлайн  Профиль  PM 
 К началу страницы 
+ Ответить 
сообщение
Сообщение #8


Пионер
**

Группа: Пользователи
Сообщений: 67
Пол: Мужской

Репутация: -  0  +


Цитата(eprsteklmn @ 15.05.05 17:57)
е^x*cos^2(x)


Хм... тогда надо подумать.


--------------------
На горе лежит дискета
У неё испорчен boot
Через дырочку в конверте
Её вирусы грызут
 Оффлайн  Профиль  PM 
 К началу страницы 
+ Ответить 

 Ответить  Открыть новую тему 
1 чел. читают эту тему (гостей: 1, скрытых пользователей: 0)
Пользователей: 0

 





- Текстовая версия 18.02.2026 6:41
500Gb HDD, 6Gb RAM, 2 Cores, 7 EUR в месяц — такие хостинги правда бывают
Связь с администрацией: bu_gen в домене octagram.name