IPB
ЛогинПароль:

> Компиляция правил для данного раздела

1. Заголовок темы должен быть информативным. В противном случае тема закрывается и удаляется ...
2. НЕ используйте форум для личного общения, все что не относится к обсуждению темы - на PM!
3. Одна тема - один вопрос (задача)
4. Спрашивайте и отвечайте четко и по существу!!!

> система уравнений
сообщение
Сообщение #1


Пионер
**

Группа: Пользователи
Сообщений: 143
Пол: Мужской

Репутация: -  0  +


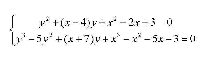
помогите решить систему уравнений (система уравнений в прикрепленном файле)


Эскизы прикрепленных изображений
Прикрепленное изображение
 Оффлайн  Профиль  PM 
 К началу страницы 
+ Ответить 
 
 Ответить  Открыть новую тему 
Ответов
сообщение
Сообщение #2


Пионер
**

Группа: Пользователи
Сообщений: 52
Пол: Мужской

Репутация: -  0  +


Цитата(Yurka @ 11.05.2007 13:27) *

помогите решить систему уравнений (система уравнений в прикрепленном файле)

x=0;
y=1;
Я решал методом Ньютона(прогой).
Но можно и на бумаге.


 Оффлайн  Профиль  PM 
 К началу страницы 
+ Ответить 
сообщение
Сообщение #3


Пионер
**

Группа: Пользователи
Сообщений: 143
Пол: Мужской

Репутация: -  0  +


Цитата(willhunting @ 13.05.2007 21:46) *

x=0;
y=1;
Я решал методом Ньютона(прогой).
Но можно и на бумаге.

спасибо, smile.gif я уже думал, что никто на эту тему внимане не обращает...
лучше конечно на бумаге..., но сама идея, на сколько я понял, в том, чтобы в первом уравнени принять х=0, находим корни (получиться у=1, у=3), дальше подставляем во второе уравнение и проверяем какие корни подходят?
 Оффлайн  Профиль  PM 
 К началу страницы 
+ Ответить 
сообщение
Сообщение #4


Пионер
**

Группа: Пользователи
Сообщений: 52
Пол: Мужской

Репутация: -  0  +


Цитата(Yurka @ 14.05.2007 10:48) *

спасибо, smile.gif я уже думал, что никто на эту тему внимане не обращает...
лучше конечно на бумаге..., но сама идея, на сколько я понял, в том, чтобы в первом уравнени принять х=0, находим корни (получиться у=1, у=3), дальше подставляем во второе уравнение и проверяем какие корни подходят?

Нет, не отвечают здесь только на мои вопросы smile.gif

Выкладываю алгоритм метода Ньютона с примером, правда не с твоим.
Может хоть ты подскажешь-- кто так испортил форум: открываешь любую тему, а там только одно сообщение и все остальные ответы надо перелистывать. ЖУТКО НЕУДОБНО!!!

Кстати, если надо, могу прогу скинуть.


Прикрепленные файлы
Прикрепленный файл  Ньютона.doc ( 150 килобайт ) Кол-во скачиваний: 576
 Оффлайн  Профиль  PM 
 К началу страницы 
+ Ответить 
сообщение
Сообщение #5


Пионер
**

Группа: Пользователи
Сообщений: 143
Пол: Мужской

Репутация: -  0  +


Цитата(willhunting @ 14.05.2007 22:40) *

Нет, не отвечают здесь только на мои вопросы smile.gif

Выкладываю алгоритм метода Ньютона с примером, правда не с твоим.
...Кстати, если надо, могу прогу скинуть.

спасибо ещё раз,
прогу, если можно, скинь конечно, буду очень благодарен
Yura_Mhl@mail.ru - на этот адрес скинь
 Оффлайн  Профиль  PM 
 К началу страницы 
+ Ответить 

Сообщений в этой теме


 Ответить  Открыть новую тему 
1 чел. читают эту тему (гостей: 1, скрытых пользователей: 0)
Пользователей: 0

 





- Текстовая версия 26.02.2026 6:50
500Gb HDD, 6Gb RAM, 2 Cores, 7 EUR в месяц — такие хостинги правда бывают
Связь с администрацией: bu_gen в домене octagram.name