1. Заголовок темы должен быть информативным. В противном случае тема удаляется ...
2. Все тексты программ должны помещаться в теги [code=pas] ... [/code], либо быть опубликованы на нашем PasteBin в режиме вечного хранения.
3. Прежде чем задавать вопрос, см. "FAQ", если там не нашли ответа, воспользуйтесь ПОИСКОМ, возможно такую задачу уже решали!
4. Не предлагайте свои решения на других языках, кроме Паскаля (исключение - только с согласия модератора).
5. НЕ используйте форум для личного общения, все что не относится к обсуждению темы - на PM!
6. Одна тема - один вопрос (задача)
7. Проверяйте программы перед тем, как разместить их на форуме!!!
8. Спрашивайте и отвечайте четко и по существу!!!
| AlexSt |
Сообщение
#1
|
|
Новичок ![]() Группа: Пользователи Сообщений: 38 Пол: Мужской Реальное имя: Алексей Репутация: 0 |
Написать программу построения графика функции. Вывод графика осуществлять в созданном на экране окне , в другом окне выполнить вывод уравнения функции с конкретными значениями параметров. Выполнить смену 3-х экранов с различными значениями параметров.
Цепная линия: Добавлено через 4 мин. там наверное плохо видно формулу: Эскизы прикрепленных изображений |
![]() ![]() |
| AlexSt |
Сообщение
#2
|
|
Новичок ![]() Группа: Пользователи Сообщений: 38 Пол: Мужской Реальное имя: Алексей Репутация: 0 |
Написать программу построения графика функции. Вывод графика осуществлять в созданном на экране окне , в другом окне выполнить вывод уравнения функции с конкретными значениями параметров. Выполнить смену 3-х экранов с различными значениями параметров.
Цепная линия: Эскизы прикрепленных изображений |
AlexSt ненавистная графика (Объединено) 17.05.2007 10:12
Lapp Глянь здесь: Построение любого графика
Я не совсем… 17.05.2007 10:47
Гость ну может поможите? 22.05.2007 15:08
Ozzя В ФАК'е Альтаир выкладывал код для построения … 22.05.2007 15:22
volvo Ну а в чем проблема? Это у тебя обычный график, не… 22.05.2007 15:23
Lapp ALexSt, дублировать темы - твое хобби? Оно не при… 22.05.2007 17:05
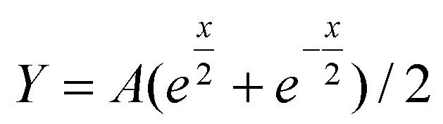
AlexSt :good: :good: :good: как записать эту формулу на… 26.05.2007 0:40
Tan y := A * (Exp(x/2) - Exp(-x/2)) / 2;
Это гиперболи… 26.05.2007 0:49
AlexSt Спасибо, а вот про ГИПЕРсинус не имею никакого пон… 26.05.2007 0:53
AlexSt я подставил в задачку Альтаира по построению любой… 26.05.2007 15:30
Ozzя Что-то рисует
program grafshit;
Uses Graph,crt;
c… 26.05.2007 17:06
AlexSt а то ли "рисует"? я не думаю что тут 3 … 27.05.2007 0:47
volvo Про цикл никогда не слышал?
Что, большая проблема… 27.05.2007 0:53
AlexSt Ну, извините. Зачёт послезавтра, а мне нужно точно… 27.05.2007 1:27
Ozzя
Ну, извините. Зачёт послезавтра, а мне нужно точн… 29.05.2007 13:42
Гость подскажите плииз! как в паскале степени и корн… 4.06.2007 18:55
Ozzя http://forum.pascal.net.ru/index.php?act=findpost… 4.06.2007 19:06![]() ![]() |
|
Текстовая версия | 26.05.2026 11:58 |