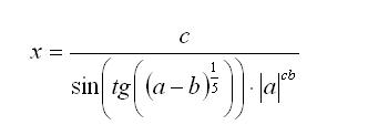
x=c*sec(tg(a-b)^(1/5))/abs(a)^(c*b)
была введена прпограмма:
"program n1;"
var x,c,a,b,v,n: real;
begin
write ('a, b, c=');
readln (a,b,c);
if a-b=0 then writeln ('-')
else
v:=1/(sin(0.2*ln(sin(a-b)*cos(a-b))));
n:=exp(c*b*ln(abs(a)));
x:=(c*v)/n;
writeln (x:7:3);
readln
end.
после выполнения паскаль вывел ошибку 205.
Что делать???
Сообщение отредактировано: Zharatustra -












