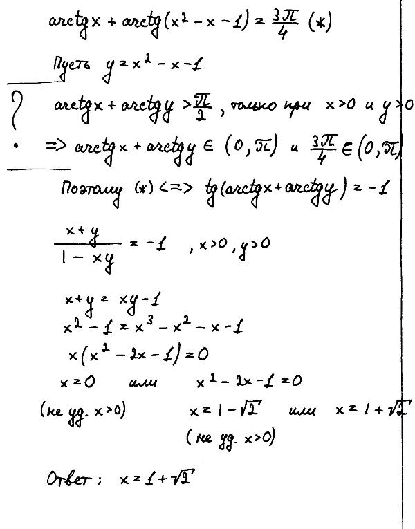
В этом задании я не написал сам две строчки (они помечены на рисунке), так вот, почему они тут так необходимы, и почему из первой строчки следует именно вторая, а не вот такой вариант: сумма арктангенсов принадлежит промежутку от Пи попалам до Пи и угол 3Пи/4 тому же промежутку соответственно???
Atos, Lapp, Michael_Rybak, может вы знаете ответ на мой вопрос? уделите плиз, несколько минут внимания!!!
Сообщение отредактировано: Yevgeny -











