1. Заголовок темы должен быть информативным. В противном случае тема удаляется ...
2. Все тексты программ должны помещаться в теги [code=pas] ... [/code], либо быть опубликованы на нашем PasteBin в режиме вечного хранения.
3. Прежде чем задавать вопрос, см. "FAQ", если там не нашли ответа, воспользуйтесь ПОИСКОМ, возможно такую задачу уже решали!
4. Не предлагайте свои решения на других языках, кроме Паскаля (исключение - только с согласия модератора).
5. НЕ используйте форум для личного общения, все что не относится к обсуждению темы - на PM!
6. Одна тема - один вопрос (задача)
7. Проверяйте программы перед тем, как разместить их на форуме!!!
8. Спрашивайте и отвечайте четко и по существу!!!
| Izo |
Сообщение
#1
|
|
Группа: Пользователи Сообщений: 7 Пол: Мужской Репутация: 0 |
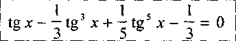
Напишите как эта формула в паскале будет записана... а то у меня подозрение, что я не правильно ее записал.
Добавлено через 5 мин. Если кому интересно , вот сама задача : Составить Паскаль-программу, позволяющую найти корень уравнения на заданном отрезке. Приближенное значение корня представлено в последнем столбце таблицы. Эскизы прикрепленных изображений |
![]() ![]() |
| volvo |
Сообщение
#2
|
|
Гость |
Цитата а то у меня подозрение, что я не правильно ее записал. Ну, вот и покажи, как записал. Тогда и посмотрим, правильно или нет... |
Izo фомула 6.06.2008 10:08
Izo ну типа вот:
f:=(sin(x)/cos(x))-1/3*(sqr(sin(x)/… 6.06.2008 13:06
volvo А что, разбить на 2 строки - никак?
t := sin(x) /… 6.06.2008 13:15
Izo хм...логично....я просто Pascal ток в этом семестр… 6.06.2008 13:27
Izo чет у меня не так получается... Я так понял должно… 6.06.2008 13:53
volvo Ты интервал 0 .. 1 сделай (а не от 0 до 0,08 как у… 6.06.2008 13:57
Izo по заданию интервал такой...
данные задани в перво… 6.06.2008 14:03
volvo По заданию интервал НЕ до 0.08, а в 10 раз больше,… 6.06.2008 14:14
Izo хм...ну да...это я от недосыпа наверно...молодец,ч… 6.06.2008 14:25
volvo Меняешь формат вывода на
writeln('x=',x:1… 6.06.2008 14:33
Izo да уж...эт видать я уже туплю...надо спать идти...… 6.06.2008 14:44![]() ![]() |
|
Текстовая версия | 22.02.2026 13:44 |