Извините, но тут у меня совсем тупик.
Пропустил кучу занятий.. не могу разобраться....
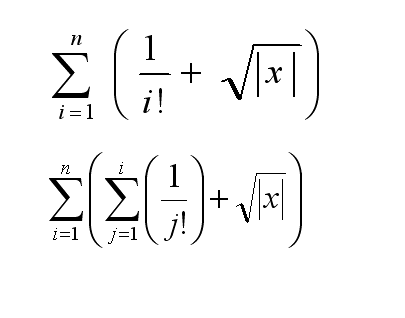
в аттаче картинка задание.
Не поможете составить программулину?
Я даж не представляю как начать, хотя в паскале вобще норм.
Смущает само задание..
не знаю, что такое i!, и как такое считать..
Добавлено через 1 мин.
С помощью оператора цикла с предусловием while/
program zadaniye;
var n,i:integer;
var S,x,a:real;
begin
writeln('vvedi n,x');
readln(n,x);
S:=0;
i:=1;
while i<=n do begin
a:=(1/i)+sqrt(abs(x));
s:=s+a;
i:=i+1;
end;
writeln(‘S=’, S:0:2);
end.
С помощью оператора цикла с постусловием repeat/
program zadaniye;
var n,i:integer;
var S,x,a:real;
begin
writeln('vvedi n,x');
readln(n,x);
S:=0;
i:=1;
repeat
a:=(1/i)+sqrt(abs(x));
s:=s+a;
i:=i+1;
until i>n;
writeln(‘S=’, S:0:2);
end.
С помощью оператора цикла for/
program zadaniye;
var n,i:integer;
var S,x,a:real;
begin
writeln('vvedi n,x');
readln(n,x);
S:=0;
i:=1;
for i:=1 to n do begin
a:=(1/i)+sqrt(abs(x));
s:=s+a;
end;
writeln(‘S=’, S:0:2);
end.
Добавлено через 40 сек.
так вроде считает, но неверно.....











