1. Заголовок темы должен быть информативным. В противном случае тема закрывается и удаляется ...
2. НЕ используйте форум для личного общения, все что не относится к обсуждению темы - на PM!
3. Одна тема - один вопрос (задача)
4. Спрашивайте и отвечайте четко и по существу!!!
| Rian |
Сообщение
#1
|
![]() Знаток ![]() ![]() ![]() ![]() Группа: Пользователи Сообщений: 396 Пол: Мужской Репутация: 9 |
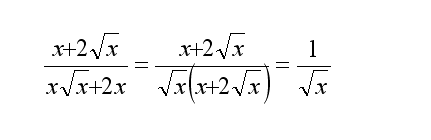
черт я завис... как правильно сократить дробь????
Эскизы прикрепленных изображений -------------------- Objective-C, Unity3d
|
![]() ![]() |
| volvo |
Сообщение
#2
|
|
Гость |
Вообще-то
Эскизы прикрепленных изображений |
feniks25 как правильно сократить дробь? 21.02.2010 2:50
volvo Вынеси sqrt(x) за скобку в знаменателе, что получи… 21.02.2010 3:19
feniks25
Вынеси sqrt(x) за скобку в знаменателе, что получ… 21.02.2010 3:24
feniks25 понял...
все нафиг эту матчасть СПАТЬ :wacko: 21.02.2010 3:41![]() ![]() |
|
Текстовая версия | 29.12.2025 16:11 |