IPB
ЛогинПароль:

> Прочтите прежде чем задавать вопрос!

1. Заголовок темы должен быть информативным. В противном случае тема удаляется ...
2. Все тексты программ должны помещаться в теги [code=pas] ... [/code], либо быть опубликованы на нашем PasteBin в режиме вечного хранения.
3. Прежде чем задавать вопрос, см. "FAQ", если там не нашли ответа, воспользуйтесь ПОИСКОМ, возможно такую задачу уже решали!
4. Не предлагайте свои решения на других языках, кроме Паскаля (исключение - только с согласия модератора).
5. НЕ используйте форум для личного общения, все что не относится к обсуждению темы - на PM!
6. Одна тема - один вопрос (задача)
7. Проверяйте программы перед тем, как разместить их на форуме!!!
8. Спрашивайте и отвечайте четко и по существу!!!

> вычисление произведения, вычисление произведения
сообщение
Сообщение #1


Бывалый
***

Группа: Пользователи
Сообщений: 198
Пол: Мужской

Репутация: -  1  +


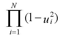
Напишите подпрограмму вычисления произведения вида (прикрепил) где u – заданный вектор, N – верхний предел интегрирования.
т.е. U и N просто числа?
Прикрепленное изображение
 Оффлайн  Профиль  PM 
 К началу страницы 
+ Ответить 
 
 Ответить  Открыть новую тему 
Ответов
сообщение
Сообщение #2


Бывалый
***

Группа: Пользователи
Сообщений: 198
Пол: Мужской

Репутация: -  1  +


не пойму, что я не так делаю...
var N,i,x:integer;
U:array [1..100] of integer;
function mas(U:array of integer):integer;
begin
for i:=1 to N do
x:=x*(1-sqr(U[i]));
end;
begin
x:=1;
write('введите N = ');
readln(N);
randomize;
for i:=1 to N do
U[i]:=2+random(4);
for i:=1 to N do
write(U[i],' ');
mas(U);
writeln ('произведение равно = ',x);
readln;
end.

результат неверный...
 Оффлайн  Профиль  PM 
 К началу страницы 
+ Ответить 

Сообщений в этой теме


 Ответить  Открыть новую тему 
1 чел. читают эту тему (гостей: 1, скрытых пользователей: 0)
Пользователей: 0

 





- Текстовая версия 23.02.2026 18:34
500Gb HDD, 6Gb RAM, 2 Cores, 7 EUR в месяц — такие хостинги правда бывают
Связь с администрацией: bu_gen в домене octagram.name