IPB
ЛогинПароль:

> Прочтите прежде чем задавать вопрос!

1. Заголовок темы должен быть информативным. В противном случае тема удаляется ...
2. Все тексты программ должны помещаться в теги [code=pas] ... [/code], либо быть опубликованы на нашем PasteBin в режиме вечного хранения.
3. Прежде чем задавать вопрос, см. "FAQ", если там не нашли ответа, воспользуйтесь ПОИСКОМ, возможно такую задачу уже решали!
4. Не предлагайте свои решения на других языках, кроме Паскаля (исключение - только с согласия модератора).
5. НЕ используйте форум для личного общения, все что не относится к обсуждению темы - на PM!
6. Одна тема - один вопрос (задача)
7. Проверяйте программы перед тем, как разместить их на форуме!!!
8. Спрашивайте и отвечайте четко и по существу!!!

> Операторы цикла, Дано натуральное число n. Вычислить:
сообщение
Сообщение #1


Новичок
*

Группа: Пользователи
Сообщений: 23
Пол: Мужской
Реальное имя: Sergey

Репутация: -  0  +


Здравствуйте! Буду признателен если поможете решить задачку.
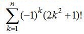
Задание: Дано натуральное число n. Вычислить:
Нужно решить с помощью for, repeat или while.

Сообщение отредактировано: Lis -


Эскизы прикрепленных изображений
Прикрепленное изображение
 Оффлайн  Профиль  PM 
 К началу страницы 
+ Ответить 
 
Closed Topic Открыть новую тему 
Ответов
сообщение
Сообщение #2


Новичок
*

Группа: Пользователи
Сообщений: 23
Пол: Мужской
Реальное имя: Sergey

Репутация: -  0  +


спасибо большое!
 Оффлайн  Профиль  PM 
 К началу страницы 
+ Ответить 

Сообщений в этой теме


Closed Topic Открыть новую тему 
1 чел. читают эту тему (гостей: 1, скрытых пользователей: 0)
Пользователей: 0

 





- Текстовая версия 23.02.2026 15:22
500Gb HDD, 6Gb RAM, 2 Cores, 7 EUR в месяц — такие хостинги правда бывают
Связь с администрацией: bu_gen в домене octagram.name