в приложении задание №17 и собственно формулы....
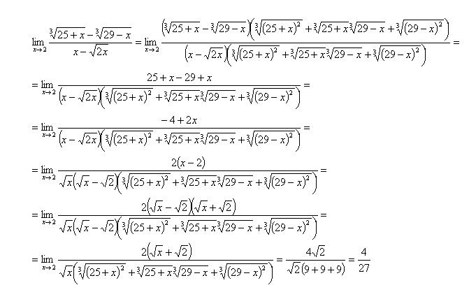
в задании неопределенность вида 0/0
одно задание решил делением каждой части на х в максимальной степени, но как я понимаю к тейлору это отношения не имеет и тут не получается... корень третьей степени...
или может можно разложить?













