Цитата(sheka @ 6.11.2010 1:32) 

А какие бывают случаи? В том то и дело, что меня интересует вопрос в общем, а не "конкретная задача".
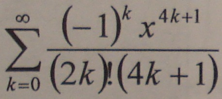
Вот, например:

Так "в общем" тебе ответил Тарас.  Ты ряды проходил или еще нет?  Скорее всего нет еще..  Тогда у тебя могло сложиться неправильное представление, что ряды - это так, пустяк, просто сложение, его в первом классе проходят типо.. ))  И тебе может показаться, что максимум, что с ними можно сделать - это посчитать на компе с некоторой (разумной с разных точек зрения) точностью.  Если это так - это большая ошибка.  Простота внешнего вида бывает обманчива..
Ряды - это самостоятельный раздел математики, в нем развитая система теорем.  По ним написаны толстые книги, их исследовали очень видные математики.  В курсе мат.анализа этот раздел занимает.. да до фига! 

 (кажется, у нас был чуть не целый семестр).  Ряды могут сходиться и расходиться, причем и то и другое с разной скоростью.  Есть много всяких признаков сходимости/расходимости.  Есть классификация рядов, и для каждого случая годятся свои оценки скорости сходимости (или их нет).  Вот, например, то, что ты приаттачил - это ряд 
знакопеременный (название говорит само за себя).  Для таких рядов есть простой признак (который доказывается), что он при условии убывания общего члена (в данном случае, x<1) сходится, и остаток ряда по модулю меньше модуля последнего члена частичной суммы (вот тебе и оценка точности).  Твоя просьба объяснить "в общем случае" означает, что мы должны тебе преподать всю теорию рядов?  
У меня еще такое 
замечание есть..  Часто задача звучит "посчитать сумму ряда с точностью", но при этом упор делается не на математику, а на программирование.  И при этом подразумевается именно оценка по последнему члену (как в знакопеременных рядах).  Это в общем случае совершенно неверно, но преподавателей программирования это не волнует.  Я видел такое неоднократно тут, на Форуме.  Такие вещи нужно выяснять непосредственно у того, кто дал задачу.