вот что сам накидал, но вроде не правильно.
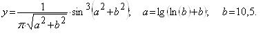
var a,b,y:real;
begin
Write('Введите b=');
Readln (b);
a:=(ln(ln(b)+b))/ln(10);
y:=(1/(Pi*(Sqr(a)+Sqr(b))))*((3*sin(Sqr(a)+Sqr(b)))*sin((Sqr(a)+Sqr(b))+2*((Sqr(a)+Sqr(b)))));
Writeln('a=',a);
Writeln ('y=',y);
end.













