IPB
ЛогинПароль:

> Прочтите прежде чем задавать вопрос!

1. Заголовок темы должен быть информативным. В противном случае тема удаляется ...
2. Все тексты программ должны помещаться в теги [code=pas] ... [/code], либо быть опубликованы на нашем PasteBin в режиме вечного хранения.
3. Прежде чем задавать вопрос, см. "FAQ", если там не нашли ответа, воспользуйтесь ПОИСКОМ, возможно такую задачу уже решали!
4. Не предлагайте свои решения на других языках, кроме Паскаля (исключение - только с согласия модератора).
5. НЕ используйте форум для личного общения, все что не относится к обсуждению темы - на PM!
6. Одна тема - один вопрос (задача)
7. Проверяйте программы перед тем, как разместить их на форуме!!!
8. Спрашивайте и отвечайте четко и по существу!!!

> Вычисления с заданной точностью, Даны действительные числа x, ε (x не равно 0, ε>0).
сообщение
Сообщение #1





Группа: Пользователи
Сообщений: 1
Пол: Мужской
Реальное имя: Константин

Репутация: -  0  +


Помогите решить задачу, пожалуйста. Не понимаю с чего начать и что вообще требуется. Если не трудно подскажите...

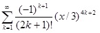
Даны действительные числа x, ε (x не равно 0, ε>0). Вычислить с точностью ε(ε=10-3,10-4,10-5,10-6)сумму ряда и указать количество учтеных слагаемых

Прикрепленное изображение

 Оффлайн  Профиль  PM 
 К началу страницы 
+ Ответить 
 
 Ответить  Открыть новую тему 
Ответов
сообщение
Сообщение #2


Злостный любитель
*****

Группа: Пользователи
Сообщений: 1 755
Пол: Мужской

Репутация: -  62  +


Ну вот то, что под знаком сумму, для k=1 вы вычислить можете? А для k=2? А последовательно прибавлять то, что получается, а некой переменной "сумма_ряда" можете? А "точностью до епсилон" тут наверняка подразумевают момент, когда новое слагаемое меньше епсилона.


--------------------
 Оффлайн  Профиль  PM 
 К началу страницы 
+ Ответить 

Сообщений в этой теме


 Ответить  Открыть новую тему 
1 чел. читают эту тему (гостей: 1, скрытых пользователей: 0)
Пользователей: 0

 





- Текстовая версия 24.12.2025 13:42
500Gb HDD, 6Gb RAM, 2 Cores, 7 EUR в месяц — такие хостинги правда бывают
Связь с администрацией: bu_gen в домене octagram.name