IPB
ЛогинПароль:

> Компиляция правил для данного раздела

1. Заголовок темы должен быть информативным. В противном случае тема закрывается и удаляется ...
2. НЕ используйте форум для личного общения, все что не относится к обсуждению темы - на PM!
3. Одна тема - один вопрос (задача)
4. Спрашивайте и отвечайте четко и по существу!!!

> Математическая логика, Исчисление высказываний
сообщение
Сообщение #1


Пионер
**

Группа: Пользователи
Сообщений: 146
Пол: Мужской

Репутация: -  2  +


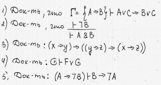
Люди!!! Горю!!! Нужна помощь!!! В понедельник контрольная по мат логике, дали нулевой вариант, а я вообще в ней не шарю .... В общем проходим мы сейчас тему исчисление высказываний, а вернее это целый раздел ....
Если есть кто знающий!?? может объясните на "пальцах" как доказывать нижеприведённые примеры ....
(|- знак выводимости .... --> импликация ....... V дизъюнкция .... & конъюнкция) Особенно интересует 1,2 и 5 примеры .... Можь у кого электронные лекции есть, с примерами решения??? Буду благодарен!!! :thanks:

Сообщение отредактировано: Amro -


Эскизы прикрепленных изображений
Прикрепленное изображение

--------------------
Закон иудеев: Семь раз отмерь, один отрежь.
Закон экономии: Семь раз отмерь, семь раз отрежь.
Закон программиста: Семь раз отрежь, ошибся, отмерь.
 Оффлайн  Профиль  PM 
 К началу страницы 
+ Ответить 
 
 Ответить  Открыть новую тему 
Ответов
сообщение
Сообщение #2


Знаток
****

Группа: Пользователи
Сообщений: 408
Пол: Мужской

Репутация: -  3  +


2. Не знаю

3. (X->Y)->(!(!Y V Z) V !X V Z)
(X->Y)->(Y V ! Z) V !X V Z)
(!X V Y) -> (Y V !X)
!(!X V y) V (Y v !X)
X V !Y V Y V !X = 1 Ч.Т.Д.


--------------------
- Где я?
- Во тьме.
- В какой тьме?
- Во тьме твоего мозга.
 Оффлайн  Профиль  PM 
 К началу страницы 
+ Ответить 

Сообщений в этой теме


 Ответить  Открыть новую тему 
1 чел. читают эту тему (гостей: 1, скрытых пользователей: 0)
Пользователей: 0

 





- Текстовая версия 23.02.2026 10:30
500Gb HDD, 6Gb RAM, 2 Cores, 7 EUR в месяц — такие хостинги правда бывают
Связь с администрацией: bu_gen в домене octagram.name