1. Заголовок темы должен быть информативным. В противном случае тема удаляется ... 
2. Все тексты программ должны помещаться в теги [code=pas] ... [/code], либо быть опубликованы на нашем PasteBin в режиме вечного хранения. 
3. Прежде чем задавать вопрос, см. "FAQ", если там не нашли ответа, воспользуйтесь ПОИСКОМ, возможно такую задачу уже решали! 
4. Не предлагайте свои решения на других языках, кроме Паскаля (исключение - только с согласия модератора).
5. НЕ используйте форум для личного общения, все что не относится к обсуждению темы - на PM!
6. Одна тема - один вопрос (задача)
7. Проверяйте программы перед тем, как разместить их на форуме!!!
8. Спрашивайте и отвечайте четко и по существу!!!
| SeRGuS | 
                        
			
			  
			
				 Сообщение
					#1				
			 
		 | 
	
| 
        	
        		 Новичок ![]() Группа: Пользователи Сообщений: 11 Пол: Мужской Репутация:    0           	 | 
       
			
			 Не могу разобраться с простой задачей: 
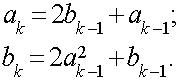
			Пусть A1=u, B1=v. Вычислить A(k)=2B(k-1)+A(k-1) B(k)=2A*A(k-1)+B(k-1) ,где K=2,3,… Может кто помочь ? Сообщение отредактировано: SeRGuS - Эскизы прикрепленных изображений  | 
	
![]() ![]()  | 
	
| SeRGuS | 
                        
			
			  
			
				 Сообщение
					#2				
			 
		 | 
	
| 
        	
        		 Новичок ![]() Группа: Пользователи Сообщений: 11 Пол: Мужской Репутация:    0           	 | 
       
			
			 volvo:  
			
			
					
		Цитата А до каких пор вычислять?  вот это я и не могу понять. То ли k описать как массив чисел от 2 до n, и что я должен получить в ответе ?  | 
	
 SeRGuS   Вычислительная задача   19.12.2004 14:33
 
 volvo   SeRGuS 
А до каких пор вычислять? А вообще-то вот …   19.12.2004 15:13
 
 murphy   
Не достаточно данных для решения задачи   19.12.2004 17:40
 
 murphy   Или может вот так
program p;
const 
   …   19.12.2004 17:47![]() ![]()  | 
	
 
  | 
		Текстовая версия | 4.11.2025 8:04 |