Люди, прошу помощи. У меня сессия, 13-ого математика, а многого я еще не нашел. Хотелось бы попросить объяснить некоторые вещи:
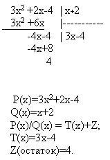
1. Деление с остатком для многочленов. Алгоритм деления. Единственность частного и остатка.
2. Теорема Лагранжа (о конечном приращении функции).
Заранее благодарен.
Сообщение отредактировано: dushik -











