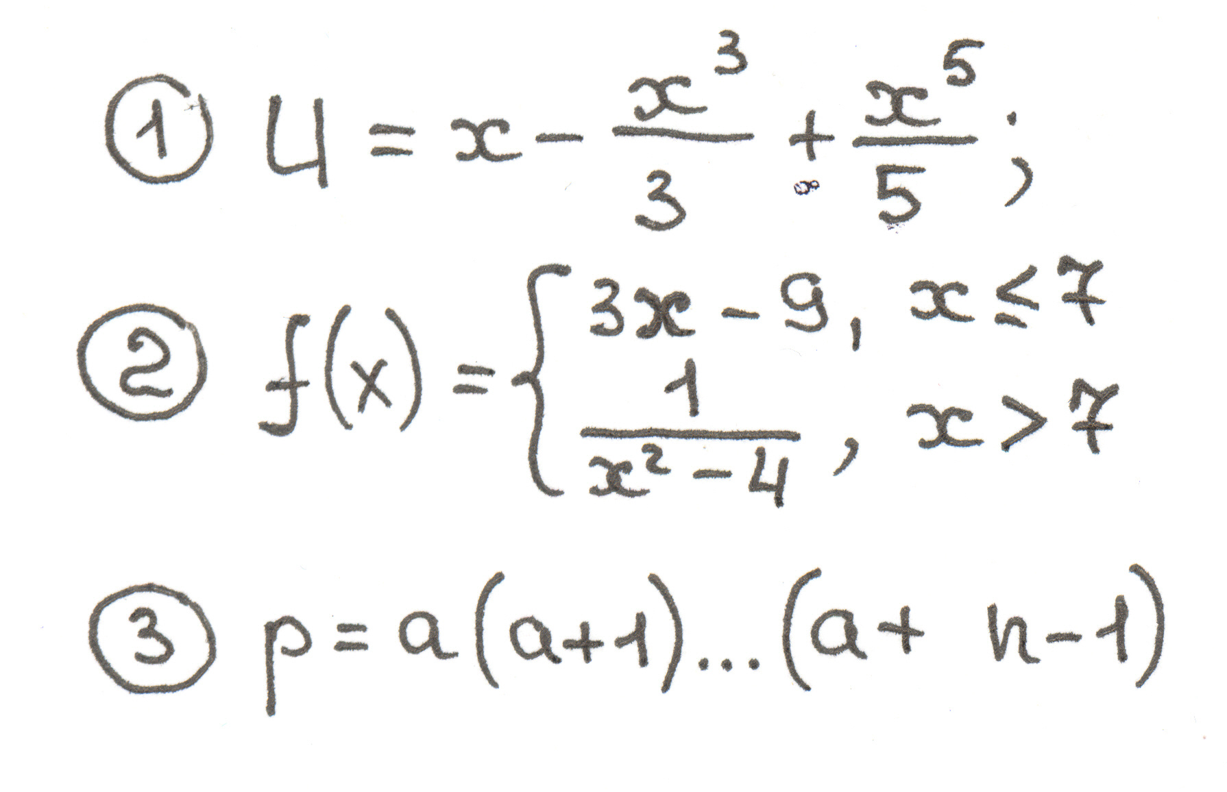
U=x - x^3/3 + x^5/5 (X^ - это я так степень записала)
2. Вычислить значение функции
f(x)=<
(1/(x^2 - 4), x>7
3. Даны: действительное число а и натуральное число n. Вычислить
p=a(a+1)...(a+ n-1)
4. Составить программу для вычисления суммы факториалов четных чисел от m до n.
Ребята, помогите пожалуйста, преподаватель ничего не объяснял (я заочница), а у меня не получается понять эти учебники, которые я уже купила. Умоляю, помогите!







Алена