тут всего 20 интегралов:
http://epr2.stsland.ru/help.jpg
ну или хотябы к-способом решать к-л из них...........
1. Заголовок темы должен быть информативным. В противном случае тема закрывается и удаляется ...
2. НЕ используйте форум для личного общения, все что не относится к обсуждению темы - на PM!
3. Одна тема - один вопрос (задача)
4. Спрашивайте и отвечайте четко и по существу!!!
| eprsteklmn |
Сообщение
#1
|
|
Новичок ![]() Группа: Пользователи Сообщений: 13 Пол: Мужской Репутация: 0 |
привет! помогите чем сможете:
тут всего 20 интегралов: http://epr2.stsland.ru/help.jpg ну или хотябы к-способом решать к-л из них........... |
![]() ![]() |
| NightPaladin |
Сообщение
#2
|
![]() Пионер ![]() ![]() Группа: Пользователи Сообщений: 67 Пол: Мужской Репутация: 0 |
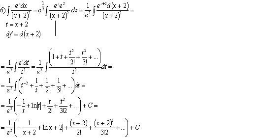
Задание №6.
Кста в задании 8 возможна ошибка - переправерь условие ;) Эскизы прикрепленных изображений -------------------- На горе лежит дискета
У неё испорчен boot Через дырочку в конверте Её вирусы грызут |
| eprsteklmn |
Сообщение
#3
|
|
Новичок ![]() Группа: Пользователи Сообщений: 13 Пол: Мужской Репутация: 0 |
Цитата(NightPaladin @ 15.05.05 17:28) Задание №6. Кста в задании 8 возможна ошибка - переправерь условие ;) е^x*cos^2(x) |
| NightPaladin |
Сообщение
#4
|
![]() Пионер ![]() ![]() Группа: Пользователи Сообщений: 67 Пол: Мужской Репутация: 0 |
Цитата(eprsteklmn @ 15.05.05 17:57) е^x*cos^2(x) Хм... тогда надо подумать. -------------------- На горе лежит дискета
У неё испорчен boot Через дырочку в конверте Её вирусы грызут |
eprsteklmn Вычисление интегралов 15.05.2005 1:49
NightPaladin Вот сделала парочку (пока) скоро выполню остальные 15.05.2005 10:08
NightPaladin Задание №7 , задание №14 и 13 15.05.2005 10:34
eprsteklmn
спасибо! :thanks: 15.05.2005 16:55
NightPaladin На здоровье :D
вот №13 и № 5 15.05.2005 21:01![]() ![]() |
|
Текстовая версия | 24.02.2026 14:23 |