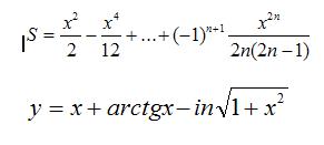
Формулы я прикрепила.
Там короче,когда проверяешь программу значения должны быть одинаковы,а у меня разница большая.
Uses CRT;
Var S,x,y,p,f,e,eps:Real;
i,k:integer;
begin
clrscr;
eps:1e-4;
write ('x=');
readln(x);
k:=1;
p:=0;
f:=1;
s:=0;
i:=1;
repeat
p:=p*x*x;
f:=2*i*(2*i-1);
e:=k*p/f;
s:=s+e;
i:=i+1;
k:=-k;
until abs(e)<=eps;
y:=x*arctan(x)-ln(sqrt(1+x*x));
writeln ('s=',s:1:3,' y=',y:1:3);
readln;
end.
| М | To: KATYSHA на первый раз я за тебя поправил потом буду наказвать... Altair |












