Вот задание:
Написать программу нахождения суммы:
А) n членов ряда для заданного х при помощи цикла с параметром;
Б) членов ряда с точностью e для заданного х и их количество. Использовать цикл с постусловием
В) членов ряда с точностью e для заданной последовательности х. Во внешнем цикле для подачи аргумента х использовать цикл предусловием, во внутреннем – вычислить сумму для конкретного х с точностью до е, используя цикл с постусловием; Вывести значение S,x,n.
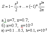
Формулы внизу.
- Вот решение для А –
var s,x,y:real;
n,m:integer;
begin
s:=1; x:=0.7;
b:=1;
for n:=1 to 7 do
begin
b:=-b*x*x;
s:=s+b/(2*n);
end;
writeln('Result: ',s:4:2);
readln;
end.
Сообщение отредактировано: volvo -










