я решила вот так-тока не знаю правильно ли???
| i j k |
c x d = |-14 5 3 | = [какаято x координата, какаято y координата,какаято z координата]
|-16 20 -18 |
ПРАВИЛЬНО?
1. Заголовок темы должен быть информативным. В противном случае тема закрывается и удаляется ...
2. НЕ используйте форум для личного общения, все что не относится к обсуждению темы - на PM!
3. Одна тема - один вопрос (задача)
4. Спрашивайте и отвечайте четко и по существу!!!
| helpmeplease |
Сообщение
#1
|
|
Пионер ![]() ![]() Группа: Пользователи Сообщений: 59 Пол: Женский Репутация: 0 |
помогите пожалуйста найти векторное( а не скалярное) произведение векторов с=[-14,5,3] и d=[-16,20,-18]
я решила вот так-тока не знаю правильно ли???
ПРАВИЛЬНО? |
![]() ![]() |
| Надин |
Сообщение
#2
|
![]() Пионер ![]() ![]() Группа: Пользователи Сообщений: 101 Пол: Женский Реальное имя: Надин Репутация: 1 |
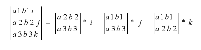
Векторное произведение ахb - вектор с, имеющий длину !c!=!axb!=!a!!b!sin(угол между а и b) и направленый перпендикулярно к а и b.
А теперь,если мне не изменяет память,то нужно составить матрици 3х3,в которой первый столбец-координаты вектора а, второй столбец - вектора b,а третий,соответственно, (i,j,k). А дальше преобразовывать,вычеркивая соответсвующий столбец и строку. Получаем формулу. Подставь и получишь ответ... Эскизы прикрепленных изображений -------------------- Часть силы той,что без числа
Творит добро, всему желая зла. |
helpmeplease векторное произведение 8.10.2006 13:50
helpmeplease
Векторное произведение ахb - вектор с, имеющий дл… 8.10.2006 17:03
volvo Если надо было найти только векторное произведение… 8.10.2006 18:17
helpmeplease
Если надо было найти только векторное произведени… 8.10.2006 23:36![]() ![]() |
|
Текстовая версия | 26.12.2025 11:58 |