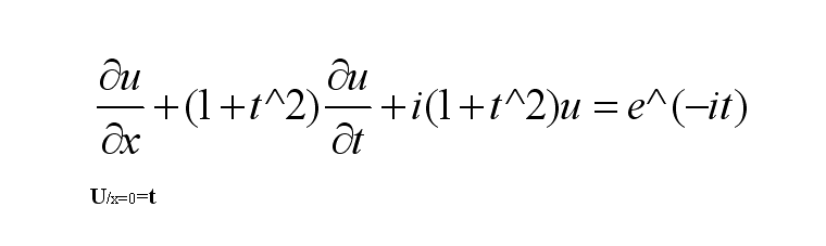
Большая просьба,помогите пожалуйста. Возникла проблема с УЧП. Посоветуйте пожалуйста какие лучше всего книги прочитать, чтобы понять материал, главное чтоб были примеры решения задач!!!! Пожалуйста!! На лекциях нам читают, совсем не то,что на семинарах,а семинары ведет аспирант,который в прошлом году только закончил институт,ничего не объясняет,только опаздывает постоянно. А тем не менее на носу контрольная,которую надо решить. Удалось узнать один номер! Помогите решить!!!
Надин, большая просьба - обрати внимание на пункт 1.11 Правил Форума. Это не просто так, существуют причины, по которым это делается. Неужели сложно сделать скриншот? В следующий раз файл DOC будет удален, а тема - закрыта...
Сообщение отредактировано: volvo -













